中文马克思主义文库 -> 马克思 - 恩格斯 -> 《马克思恩格斯全集》 -> 第五十卷

第三章 流通过程和再生产过程的现实条件



  [130]第三章[注:本章从这里往下到第108页止由恩格斯收入《资本论》第2卷正文(《马克思恩格斯全集》中文版第24卷第389—397页)。在这里和在后面类似的情况下,某些字句上的出入,是由于恩格斯在辞句上作了修改,或者是为了使俄译文更准确而作的修改。——编者注]
  流通过程和再生产过程的现实条件
  资本的直接生产过程,就是劳动过程和价值增殖过程。这个过程的结果是商品产品,它的决定性动机是生产剩余价值。

  资本的再生产过程,既包括这个直接的生产过程,也包括真正流通过程的两个阶段,也就是说,包括全部循环。这个循环,作为周期性的过程,即经过一定期间不断地重新反复的过程,形成资本的周转。

  无论我们考察的是形式的循环,还是形式的循环,直接生产过程P本身始终只是这个循环的一个环节。在前一种形式中,它表现为流通过程的媒介;在后一种形式中,流通过程表现为它的媒介。它的不断更新,资本作为生产资本的不断再现,在这两种场合,都以资本在流通过程中的转化为条件。另一方面,不断更新的生产过程,是资本在流通领域不断地重新完成各种转化的条件,是资本交替地表现为货币资本和商品资本的条件。
  但是,正如每一单个资本家只是资本家阶级的一个分子一样,每一单个资本只是社会总资本中一个独立的、可以说赋有个体生命的部分。社会资本的运动,由社会资本的各个独立部分的运动的总和,即各个单个资本的周转的总和构成。正如单个商品的形态变化是商品世界的形态变化序列——商品流通——的一个环节一样,单个资本的形态变化,它的周转,是社会资本循环中的一个环节。
  这个总过程,既包含生产消费(直接的生产过程)和作为其媒介的形式转化(从物质方面考察,就是交换),也包含个人消费和作为其媒介的形式转化。一方面,它包含可变资本向劳动力的转化,从而包含劳动力的并入资本主义生产过程。在这里,工人是他的商品——劳动力的卖者,资本家是劳动力的买者。另一方面,商品的出售,包含工人阶级对商品的购买,也就是说,包含工人阶级的个人消费。在这里,工人是买者,资本家是向工人出售商品的卖者。
  商品资本的流通,还包含剩余价值的流通,从而也包含对资本家的个人消费,即对剩余价值的消费起媒介作用的买卖行为。
  因此,各个单个资本就其总体、就其结合为社会资本来考察的循环,不仅包括资本的流通,而且也包括一般的商品流通。后者本来只能由两部分构成:(1)资本本身的循环;(2)进入个人消费的商品的循环,也就是工人用工资,资本家用剩余价值(或其中的一部分)购买的那些商品的循环。作为商品资本,剩余价值本身也包括在资本的流通中,因为剩余价值是资本的生产过程的结果。另一方面,资本的循环同样也包括可变资本向劳动力的转化,包括工资的支付,但是这种工资耗费在商品购买上,并不构成资本流通的环节,虽然工资的耗费是这个流通所不可缺少的。
  在本书第一册[注:指《资本论》第1卷(《马克思恩格斯全集》中文版第23卷)。——编者注],我们把资本主义生产过程,既作为孤立的行为,又作为再生产过程来分析,作为剩余价值的生产和资本本身的生产来分析。资本在流通领域所经历的形式变换和物质变换被假定为前提,而没有进一步加以论述。我们假定,一方面,资本家按照产品的价值出售产品;另一方面,他在流通领域找到使过程重新开始或连续进行所必需的各种客观存在的生产资料。我们在那里曾经更详细地考察的流通领域中的唯一行为,是作为资本主义生产的基本条件的劳动力的买卖行为。
  在本册的第一章[注:见本卷第7—98页。——编者注],我们考察了资本在它的循环中所采取的不同的形式和这个循环本身的各种形式。除了第一册所考察的劳动时间,现在又加上了流通时间。
  在第二章[34],资本的循环是作为周期的循环,也就是作为资本的周转来考察的。这里一方面指出了,资本的不同组成部分(固定资本和流动资本)怎样在不同的时间以不同的方式完成各种形式的循环;另一方面又研究了决定劳动期间和流通期间长短不同的各种情况。我们还指出了,循环期间及其组成部分的不同比例,对生产过程本身的范围和年剩余价值率有怎样的影响。事实上,第一章主要是考察资本在它的循环中不断地依次采取和抛弃的各种形式,而第二章研究的,是在各种形式的这种运动和相继更替中,一定量的资本怎样同时(尽管按不同的比例)分成生产资本、货币资本和商品资本这些不同的形式,以致不仅这些形式互相交替,而且总资本价值的不同部分也不断地并存于这些不同的状态中,并执行职能。特别是货币资本表现出一种在第一册里没有谈到的性质。在这里揭示了一些规律,按照这些规律,一定量资本的大小不等的组成部分,必须按照周转的条件,不断地以货币资本的形式预付和更新,以便使一个定量的生产资本能够不断地执行职能。
  但是在第一章和第二章,我们考察的,始终只是单个资本,只是社会资本中一个独立部分的运动。
  但是,各个单个资本的循环是互相交错的,是互为前提、互为条件的,而且正是在这种交错中形成社会总资本的运动。在简单商品流通中,一个商品的总形态变化表现为商品世界形态变化系列的一个环节,[131]同样,单个资本的形态变化现在则表现为社会资本形态变化系列的一个环节。虽然简单商品流通决没有必要包括资本的流通,——因为它也可以在非资本主义生产方式的基础上进行,——但如上所述,社会资本的流通、循环却包括那种不属于单个资本循环范围内的商品流通,即包括那些不形成资本的商品的流通。
  现在,我们就要考察作为社会资本的组成部分的各个单个资本的流通过程(这个过程的总体就是再生产过程的形式),也就是考察这个社会资本的流通过程。
  虽然下面阐述的内容属于本章的后面部分,但我们还是想立即在这里研究一下。

货币资本是社会总资本的组成部分


  在考察单个资本的周转时,指出过货币资本的两个方面。
  (1)第一,它是每个单个资本登上舞台,作为资本开始它的过程的形式。因此,它表现为发动整个过程的第一推动力。
  (2)第二,由于周转期间的长短不同和周转期间两个组成部分——劳动期间和流通期间——的比例不同,必须不断以货币形式预付和更新的那部分预付资本价值与它所推动的生产资本即既定的生产的规模之间的比例,也就不同。但不管这个比例如何,能够不断执行生产资本职能的那部分处在过程中的资本价值,在任何条件下总是受必须不断以货币形式与生产资本同时存在的那部分预付资本价值的限制。这里说的只是正常的周转,一个抽象的(平均的)数。为消除流通的停滞所必需的追加的货币资本是撇开不说的。
  关于(Ⅰ)。商品生产以商品流通为前提,而商品流通又以商品表现为货币,以货币流通为前提。商品分为商品和货币的这种二重化,是产品表现为商品的规律。同样,资本主义的商品生产,——无论是社会地考察还是个别地考察,——要求货币形式的资本或货币资本作为每一个新开办的企业的第一推动力和持续的动力。流动资本恰恰要求货币资本作为动力经过一段短时间不断地反复出现。
  全部预付资本价值,即资本的一切由商品构成的部分——劳动力、劳动资料和生产资料,都必须不断地用货币一再购买。
  在这里,就单个资本说是如此,就社会资本说也是如此,后者不过是以许多单个资本的形式执行职能。
  但是正如第一册已经指出的,由此决不能得出结论说,资本执行职能的范围,在资本主义基础上生产本身的规模,就其绝对的界限来说,是由执行职能的货币资本的大小决定的。
  并入生产资本中的各种生产要素的量,在一定的界限之内,不是取决于预付货币资本的量。在报酬相同时,可以从外延方面或内含方面加强对劳动力的剥削。如果货币资本随着这种剥削在外延方面或内含方面的加强而增加,那么,它也不是成比例地增加的,因而,根本不是相应地增加的。
  生产上利用的自然物质,如土地、海洋、矿山、森林等等,不是资本的价值要素。只要对原有劳动力在内含方面或外延方面的使用不同,不增加预付货币资本,就可以从外延方面或内含方面加强对这种自然物质的利用。这样,生产资本的现实要素和体现在其中的生产出来的价值产品增加了,而货币资本没有增加,没有必要使用追加货币资本。如果由于追加辅助材料而必须追加货币资本,那么,资本价值借以预付的货币资本,也不是和生产资本效能的扩大成比例地增加的,因而,根本不是相应地增加的。
  同一些劳动资料,简单地说就是固定资本,可以用延长使用时间的办法,也可以用增加使用强度的办法,更有效地加以利用,而无须为固定资本追加货币支出。这时,只是固定资本的周转加快了,可是它的再生产的各种要素也更迅速地提供出来。
  撇开自然物质不说,各种不费分文的自然力,也可以作为要素,以或大或小的效能并入生产过程。这取决于使用它们的各种方法和科学进步,这些也是不花费资本家分文的。
  关于劳动力在生产过程中的社会结合和各个单个工人积累起来的熟练程度,情况也是如此。(不太聪明的凯里算出,土地所有者从来没有得到足够的报酬,因为支付给他的,并不是自古以来为使土地具有现在这样的生产能力而投下的全部资本或劳动(当然不提从土地掠夺去的生产能力)。根据这种算法,对单个工人就必须按照整个人类为把一个野蛮人造就成一个现代的美国机器工人所花费的劳动,来支付报酬了。正好相反,我们倒是应该这样说:如果把投在土地上的一切没有报酬的、但已被土地所有者和资本家转化为货币的劳动计算一下,那么,投在土地上的资本已经一再以高额的利息偿还了,土地所有权也早就一再被社会赎买回来了。)
  劳动生产力的提高,从社会的角度看,如果不包含资本价值的追加支出,当然首先只是增加产品的量,而不是增加产品的价值(撇开它能够用同量的劳动把更多的不变资本再生产出来,即把更多不变资本的价值保存下来这种情况)。但是,劳动生产力的提高同时形成资本材料,从而形成资本积累扩大的基础。
  社会劳动组织本身,从而社会劳动生产力的提高,要求生产大规模地进行,从而要求预付大量单个货币资本。关于这一点,如第一册已经指出的,这部分地是通过资本在少数人手中的积聚实现的,而执行职能的资本价值,从而表现这些价值的预付货币资本,并不需要绝对地增大。单个资本可以通过这些资本在少数人手中的积聚来增大,而它们的社会总额并没有增大。在这种情况下,改变的只是各个单个资本的分配而已。
  最后,上一章已经指出,通过周转期间的缩短,能用较少的货币资本推动同一的生产资本,或者能用同一的货币资本推动较多的生产资本。
  [132]但是,这一切显然和真正的货币资本问题无关。
  这只是表明,预付资本——一个由既定的价值额构成的资本,它在它的自由形式上,在它的价值形式上,等于一定的货币额——在转化为生产资本之后,包含着生产的潜力,这些潜力的界限,不是由价值量规定的,这些潜力能够在一定的活动范围之内,在外延方面或内含方面按不同程度发挥作用。如果生产要素——生产资料和劳动力——的价格是已定的,那么,购买一定数量的以商品形式存在的这些生产要素所必需的货币资本量,也是确定的。或者说,要预付的资本的价值量是确定的。但这个资本作为价值形成要素和产品形成要素的作用大小是可以伸缩,可以变化的。
  关于(Ⅱ)。社会劳动和生产资料每年都必须有一部分用来购买(或生产)货币,以补偿磨损掉的铸币。不言而喻,这对社会生产相应地是一种削减。至于货币资本(它部分地充当流通手段,部分地充当贮藏货币),那么,既然它已经存在,已经取得,它大部分就同劳动力、生产出来的生产资料和财富的自然源泉并存。不能把这种货币资本看成是限制这些东西的。通过它转化为生产资本的要素(和外国进行交换)生产规模就能扩大。但这以货币依旧起世界货币的作用为前提。由于周转期间的长短不同,推动生产资本所必要的货币资本量也就有大有小。同样,在大多数情况下,——也就是说,或者劳动期间和流通期间彼此不相等,或者流通期间的长短和劳动期间的长短不成倍数,——都会形成潜在的(暂时闲置的)货币资本。
  周转期间,就它由劳动期间的长度决定而言,在其他条件不变的情况下,由生产过程的物质性质所决定,所以,不是由生产过程的特殊的社会性质所决定。
  但是,在资本主义生产的基础上,历时较长规模较大的事业,要求在较长时间内预付较大量的货币资本。所以,这里的生产取决于单个资本家拥有的货币资本的限度。这个限制被信用和与此相联的联合经营(股份公司)打破了。因此,货币市场的混乱会使这类企业陷于停顿,而这类企业反过来也会引起货币市场的混乱。
  有些事业在较长时间内取走劳动力和生产资料,而在这个时间内不创造任何产品(有效用的);而另一些生产部门在一年间多次地或者不断地不仅取走劳动力和生产资料,而且也创造生活资料和生产资料。在社会公有的生产的基础上,必须确定,在没有后者参加的情况下,前者按什么比例进行。象从前一样,在劳动期间短的部门,工人将照旧只在较短时间内取走产品而不提供产品;在劳动期间长的生产部门,则在提供产品之前,在长时间内不断取走产品。
  这种差别是由特殊的劳动过程的物质性质造成的,而不是由这个过程的社会形式造成的。在这里货币资本不再存在了。社会把劳动力和生产资料分配给不同的生产部门。生产者得到的是纸的凭证,以此从社会的消费品储备中,取走一个与他们的劳动时间相当的产品量。这些凭证不是货币。它们是不流通的。
  我们知道,如果对货币资本的需求是由劳动期间的持续所引起的,那么,这是由两种情况造成的:第一,货币一般地说是每一单个资本(撇开信贷不说)为了转化成生产资本起初所必须采取的形式;这是由资本主义生产的性质(一般来说,由商品生产的性质)引起的。第二,必要的预付货币量和这种预付的长期性的产生,是由于在较长时间内不断从社会取走劳动力和生产资料,而在这个时间内却不向社会提供任何可以再转化为货币的产品。
  第一种情况,即要预付的资本必须以货币形式预付,并不会由于这个货币本身的形式——不论是金属货币、信用货币、价值符号或其他等等——而消除。
  第二种情况也决不会由于通过哪一种货币媒介(或一般来说,通过哪一种交易形式)取走劳动、生活资料和生产资料却不把等价物投回流通,而受到影响。

[134](a)不变资本、可变资本和剩余价值的社会流通


(a)从个人观点和社会观点看的产品价值组成部分


  在考察资本主义生产过程时曾经指出,产品价值分为三个组成部分:一个价值组成部分等于生产过程中消费的生产资料的价值(不变资本);另一个价值部分等于生产过程中使用的劳动力的价值(与价格相符合);第三个组成部分等于生产过程中创造的并且体现在产品中的剩余价值。于是,假如所消费的生产资料或不变资本的价值为400镑,预付在劳动力上的可变资本为100镑,剩余价值率是100%,那么剩余价值量也是100镑,产品价值总计为600镑,即

  假定生产要素的价格不变,生产规模不变,再假定资本家出售这个价值产品,把它转化为货币,转化为总额为600镑的货币。对于100镑剩余价值的花费我们不感兴趣。等于400c的第一个产品价值组成部分,只是再现于产品中,而其他两个组成部分,100v和100m,则构成生产过程中新生产的价值产品。然后,由于购买生产资料,400镑再转化为不变资本的现实要素,100镑由于购买劳动力再转化为可变资本的现实形式。在产品中,生产资本不复存在;它转化为商品,由于商品产品在流通领域所经历的形态变化,由于对这些形态变化起媒介作用的交换行为,它以其最初的形式被再生产出来。商品形式必须再转化为货币形式,货币形式必须再转化为构成生产资本的生产要素。产品再转化为生产资本,再转化为生产要素形式(它只有以这种形式才能作为生产资本执行职能),是以资本的流通过程行为为媒介的。但是,在考察直接生产过程时,这些行为只是被当作前提。对此我们没有详细论述。然而,一旦我们要比较详细地论述时,一些至今没有解决的问题就清楚地呈现出来。单个资本在其流通过程中只是作为社会总资本的一部分执行职能。它的运动不仅决定于它同社会总资本其他部分的社会联系,而且决定于它同整个商品世界,同整个社会再生产过程(不仅包括社会的生产消费过程,而且包括社会的个人消费过程)的社会联系。例如,价值600镑的产品——500镑生产资本执行职能的结果——必须转化为货币,即必须作为商品出售。商品是应该作为生活资料进入工人和资本家的个人消费,还是作为生产已经完成的或生产没有完成的劳动资料,或者是作为生产出来的材料,进入生产消费,也就是说,充当构成其他资本的物质因素,这取决于该商品的实物形式。

  从产品的实物形式来看,例如,产品是奢侈品。虽然这个600镑的商品资本中,4/6即400镑,对单个资本家来说只代表他的不变资本的商品形式,1/6即100镑只代表他的可变资本的商品形式,但是很清楚,从社会观点看,这个商品形式的资本既不构成不变资本的物质要素,也不构成可变资本的物质要素,也就是说,它既不能充当生产资料,也不能充当必要生活资料。在研究开始时,我们遇到另一个严重得多的困难。体现600镑产品的商品,不管采取什么样的实物形式,产品价值的4/6都等于400镑,也就是产品的不变价值部分(在生产产品时损耗的生产资料的价值),只是再现于产品中。产品的这个不变价值部分,正如我们已经证明的那样,并不是真正地再生产出来。它不构成新价值产品的部分。(见第1卷第174页:“因此,生产资料的价值是再现在产品的价值中,确切地说,不是再生产。所生产出来的是旧交换价值借以再现的新使用价值。”[注:见《马克思恩格斯全集》中文版第23卷第234页。——编者注])一旦产品转化为货币,它的不变价值部分(在这里等于400镑)就进行向新的生产资料的再转化,这些新的生产资料应该补偿旧的、在生产过程中磨损了的生产资料。但是,用来补偿已损耗的不变资本的这些新生产资料的价值,肯定不是仅仅由再现的价值组成。另一个困难:我们看到,每个工作日分为两部分——必要劳动时间和剩余劳动。可以把社会的年劳动看作一个工作日。如果我取全部工作日的一个平均量,那么我们首先就会得出一个算作社会平均量的单个工作日。这个工作日乘以全年中每天使用的工人的平均数,就得出社会工作日。最后,这个社会工作日乘以全年工作日的平均数(按照我们的假设,它的长度是10小时),就得出表现为一个社会工作日的全部年劳动时间。例如,平均社会工作日为10小时。全年同时按10小时工作的工人的平均数为500。于是,一个社会工作日就是500×10=5000小时。最后,一年中做满的平均工作日数为300;于是,年总劳动就表现为一个长度为5000×300小时=500000×3=1500000,即表现为一个1500000小时的工作日。如果现在剩余价值率为100%,那么这个社会工作日就等于750000小时必要劳动时间+750000小时剩余劳动。象每个单个工人的工作日一样,这个社会工作日只由必要劳动时间和剩余劳动组成,只由生产工资的劳动时间和生产剩余价值的劳动时间组成。那么不是为生产工资或剩余价值,而是为生产补偿一年中所损耗的、所消费的不变资本的新生产资料所需要的劳动时间在那里呢?
  在第1册中已经谈到(第574、575页)[注:见《马克思恩格斯全集》中文版第23卷第647—648页。——编者注],按照亚·斯密的看法,如果从社会的观点而不是从单个资本家的观点来考察总商品产品,产品中补偿不变资本的那个价值部分,就象纯主观的幻象一样完全消失了,而且斯密把这个教条遗留给他的所有门徒。为了向读者说明要解决的问题的复杂性,我们先来看亚·斯密本人是怎么说的。
  [135]“在每一个社会中,每一种商品的价格最终地分解为这三个部分之一,或三者全体〈即分解为地租、利润(包括利息)和工资〉;并且在每一个进步的社会中,这三者都多少不等地作为组成部分加入绝大部分商品的价格中去。”
  “例如,在谷物价格中,就有一部分支付土地所有者的地租,另一部分支付在谷物生产上使用的工人和役畜的工资或给养〈斯密在这里给劳动者和役畜定出同样的作用,并且同样地向他们“支付”工资,这一点看起来是天真的〉,第三部分支付租地农场主的利润。这三部分看来直接地或最终地构成谷物的全部价格。也许有人以为必须有第四个部分,用来补偿租地农场主的资本,或者说,补偿他的役畜和其他农具的损耗。但必须考虑到,任何一种农具的价格,例如一匹役马的价格,本身又是由上述三个部分构成:养马用的土地的地租,养马的劳动,预付这块土地的地租和这种劳动的工资的租地农场主的利润。因此,谷物的价格虽然要补偿马的价格和给养费,但全部价格仍然直接地或最终地分解为这三个部分:地租、工资和利润。”(第1篇第6章)
  在后面的第三册里,我们将考察亚·斯密以他自己的分析形式对商品价格进行的分析,即对商品价格的三个组成部分——工资、利润和地租的价格进行的分析。而为了便于我们的研究,应该把商品价格的形式归结为更简单的表达方式。利润(利息)和地租——这只是剩余价值各组成部分的不同名称。因此,斯密对价格的分析归结为价格分解为工资(可变资本)+剩余价值,也就是说,构成价格的三个组成部分归结为两个。他所谈到的并且使之等于零的第四个组成部分,实际上是第三个组成部分,即产品中等于转移到产品上的不变资本价值的那个价值部分。
  于是,从单个资本家的观点来这样阐述问题,产品价值存在于三个组成部分之中:补偿已消费的生产资料价值(不变资本价值)的价值部分,补偿可变资本(工资)的价值部分,最后是剩余价值(利润和地租)。例如,谷物的价值对单个租地农场主来说分解为:对已损耗的农具和役畜的价值补偿、工资和剩余价值。(租地农场主的利润和土地所有权的地租。)但是从社会观点看却不是这样。单个资本家本人认为是不变资本价值的那个东西,对另一个资本家来说,是作为由工资+剩余价值这两个要素组成的东西存在的。虽然对另一单个资本家,例如租地农场主向他购买农具和机器的那个资本家来说,情况并不是这样。对于这位生产农具和机器的厂主来说,他的产品——例如播种机——的价值由生产它们时损耗的机器、消耗的煤、原料(铁、木材)等等的价值部分组成,也就是说,由资本的不变部分、可变[部分]+剩余价值组成。但是在另外某个地方,机器制造业中所消费的机器、煤、原料等等的价值,仅仅分解为两个组成部分:工资和剩余价值;虽然如果我们考察生产蒸汽机、或生产铁、或生产煤的单个资本家时,情况又不是这样;等等。
  (我们在这里完全不去说亚当在举例上的特别不幸。在他的例证中,谷物价值之所以分解为工资、利润和地租,只是因为役畜消费的饲料被看成役畜的工资,役畜本身则被看成是雇佣工人;因而雇佣工人也只不过被看成是役畜。)
  总之,对每一单个资本来说,产品价值分解为三个组成部分——不变的资本价值+可变的资本价值(工资)+剩余价值(利润、地租),而对社会资本来说,总产品价值只分解为两个组成部分:可变的资本价值(工资)+剩余价值(利润、地租)。怎么证明这一点呢?
  论证如下:
  “既然就每一个特殊商品分别来说是如此<产品价值分解为工资+利润+地租,或分解为工资+剩余价值>,那么,就形成每一个国家的土地和劳动的全部年产品的一切商品整体来说也必然是如此。这个年产品的全部价格或交换价值,必须分解为同样三个部分,在国内不同居民之间进行分配,或是作为他们的劳动的工资,或是作为他们的资本的利润,或是作为他们占有的土地的地租。”(第2篇第2章)
  因此,从每一单个资本的观点看,产品价值(与价格相符合)分解为,而从社会资本的观点看,总年产品的价值(与价格相符合)分解为v+m;所以发生这种情况,正是因为,对每一单个资本来说商品产品的价值分解为v+m,而社会商品量的价值只不过等于组成这个量的单个商品的价值总额。
  不过亚当·斯密必须说清楚,社会商品价值,或社会总资本生产的年商品价值,怎么能够不同于单个商品价值,也就是说不同于单个资本家的商品产品,而对每一单个资本家存在着的价值组成部分,一当我们考察这些资本家的总数时,这个部分怎么就不存在了(不如说,甚至消失了),也就是说,从社会资本观点看它怎么就消失了。他是这样论证的:现在作相反的假设,即如果从社会资本的观点看问题,要消失的那一个价值组成部分,从单个资本家的观点看也是不存在的。他不承认一开始曾设想:商品价值的社会构成和单个构成之间存在着实际的或想象的矛盾。相反,他认为对于每一单个资本家是正确的事情,对于他们的总数即社会资本也必然是正确的。由此必然得出结论,宁可说由于产品的不变价值部分对于单个资本存在,所以它对于社会总资本也存在。[136]正因为如此,杜格耳德·斯图亚特在斯密的《国富论》中发现了
“逻辑的实际表现”[35]!
  我们认为,斯密把产品价值分解为工资+剩余价值,这是一种轻率的概念。它的作者安慰自己说,如果价值的这种分解不是“直接”发生的,即在考察某一单个资本从而考察单个产品时发生的,那么“最终”这种分解仍然必定是正确的。商品价值如此“最终”分解为工资+剩余价值——这完全是用无限的进程来聊以自慰的随意设想。资本A的产品包含着等于转移到该产品上的不变资本价值的那个价值组成部分,但是这个消费了的不变资本是资本家B的产品,他的生产资料又是资本家C的产品,依此类推。包含在年产品中的社会产品的不变资本价值最终必然会在某个资本家X手中完结、消失。把问题从A转移到B,从B转移到C,从C等等一直转移到X,从而把问题越推越远,直到我们的视线达不到的远处,这种做法是不能解决问题的。同样,A、B等等手中的产品价值,我们也可以从一开始就假设,它分解为即直接分解为工资+剩余价值。我们看到,斯密进行论证的全部进程只不过归结为,在最后直接假设最终必然发生的事情;因此他的论证的进程是,最终假设的情况与他曾直接假设的情况正相矛盾。
  施托尔希接受亚·斯密的这种概念,把由工资和剩余价值(利润、地租)总额构成的这种价格称为必要价格(prix necessaire),他说:
“用在材料、原料和成品上的流动资本本身<可见,这就是由辅助物质、生产材料构成的那部分不变资本,生产材料本身包括半成品>,是由商品构成的。这些商品的必要价格,是由同样的要素构成的。因此,在考察一个国家商品的总体时,把这部分流动资本算在必要价格的要素内,就是把同一个东西计算两次。”(1815年彼得堡版第2卷第140页)
  这里唯一需要指出的是“计算两次”。很清楚,例如,纱是生产麻布的原料,虽然纱的价格构成织布业主的一部分不变资本,但是从社会观点看,纱的价值中包含的工资不可能支付两次,即从织布业主的角度看作为原料(或更确切些说,原料的一部分)的价格支付,从纺纱业主的角度看作为工资支付。对社会来说,这部分价值是工资,尽管它表现为织布业主的一部分不变资本。这只是证明,从社会观点考察的价格,不同于从单个资本家的观点考察的价格,但是决不证明斯密对价值的分析是正确的。
  接着,施托尔希说:
“不错,工人的工资同企业主利润中由工资(如果我们把工资当作一部分生活资料来看)构成的部分一样,也是由那些按市场价格购买的、本身包含工资、资本利息、地租和企业主利润的商品构成的……这种看法不过证明,要把必要价格分解为它的最简单的要素,是不可能的。”(同上,注)
  例如,假定按斯密的意见来分解价格,就应该认为,纱的价值由工资+剩余价值组成。如果撇开货币形式,那么工资就由商品组成,而这些商品又由工资+剩余价值组成。这个问题本来同我们讨论的问题毫无共同之处。这里有两个情况。第一,用商品价格决定劳动价格,然后又用劳动价格决定商品价格,这是循环论证。第二,正如我们已经指出的(第1卷第187页及以下各页[注:见《马克思恩格斯全集》中文版第23卷第247—250页。——编者注]),虽然每一单个的局部的产品(商品部分)的价值(与价格相符合)分解为但是,另一方面,产品作为整体可以分解为:价值只等于c的一部分产品,价值只等于v的另一部分产品,价值只等于m的第三部分产品。在那里(在第1卷),这是用来说明每一单个资本的产品价值的。这样一来,对于社会资本来说,这个问题也已经解决了。经济学家既然不能说明单个资本家的商品产品的这种价值分解,当然就更不能说明社会总资本的这种价值分解。
  施托尔希说,不能把流动的不变资本计算两次,这句话只不过是斯密原理的另一种说法而已,这种说法是为把商品价格分解为工资+剩余价值并摆脱从社会观点计算不变资本(在这里是流动的不变资本)的必要性所需要的。例如麻布的价格。这个价格从一开始就包含从事麻布生产的资本家和工人的工资+剩余价值。此外还有等于纱、煤等等、所使用的机器和厂房等等的价值的不变资本部分。构成织布业主的不变资本价值的所有这些商品的商品价值又分解为工资+剩余价值+不变资本部分。在考察体现在麻布中的全部社会产品部分时,不能对其中包含的工资和剩余价值总额计算两次(既作为纺纱业主、亚麻种植业主、煤矿业主、机器制造业主等等的工资和剩余价值,又作为织布业主的不变资本价值进行计算),这是很清楚的。对包含在总产品中的同一些价值要素,即工资和剩余价值,不能计算两次(更确切地说,重复计算),但是决不能由此得出结论说,全部价值产品分解为工资+剩余价值,或者说全部不变资本消失了,也就是说,完全不算数了。无论如何,应该由此得出结论说,从社会观点看的不变资本,不可能由从各单个资本家的观点看表现为不变资本的所有那些资本部分的价值总额构成。
  [137]现在我们从另一个观点来考察斯密的分析。
  所有商品的价格分解为工资+利润(包括利息)+地租,即分解为工资+剩余价值。
  商品产品的价格中等于工资的那个要素,只不过是处于商品形式中的可变资本,它是由资本家在购买劳动力时预付的,并且由工人把它作为工资花费。这就是商品产品中补偿可变资本以便不断作为可变资本重新预付出去的那个部分。
  商品价格按成分来说等于工资+剩余价值,即等于可变资本+剩余价值。
  剩余价值不构成预付资本的任何部分,不构成资本预付的任何部分。确切些说,这是新的价值产品,它作为超过预付资本价值的余额被生产出来。这一点首先对于社会剩余价值中由每一单个资本为自己生产的那一部分剩余价值来说是很清楚的。另一方面,单个资本家支付他所购买的生产资料的价值,他的不变资本不断反复地体现在这些生产资料中。
  这个价值也包含着这些商品——这些生产资料——中所包含的剩余价值。但是,如果我们考察社会资本,——也就是年社会价值产品,——那么很清楚,剩余价值不可能被“计算两次”,对于每一单个资本家来说,它不可能超过社会资本中他所预付的那个部分而形成余额,总之,它不可能既形成剩余价值,同时又表现为社会总预付资本的组成部分。不管从单个资本家的观点看事情是怎么样的,社会年产品价值中由剩余价值构成的要素,不形成社会预付资本的任何要素。
  如果从社会产品价格中预付资本或资本要素的观点看,公式分解为:
  工资+剩余价值=可变资本+剩余价值,分解为:
可变资本+0,或 因为剩余价值不是预付在
分解为可变资本 社会资本生产上的部分。
或者,从社会观点看,全部预付资本直接地或最终地归结为可变资本,归结为预付在购买劳动力上或花费在工资上的资本。
  这就是斯密的价格分析的必然结果。实际上这不过是他的直接说法的另一种表述。他说,第四部分,即花在生产资料上的部分,只是在主观上(从单个资本家的观点看)才形成商品价值的组成部分,而在社会方面不是这样;因而,不变资本价值,作为特殊的价格形成要素,并不包含在商品中,因而,不变资本价值,作为资本的一部分,并不预付在商品生产上。
  虽然亚·斯密在这一点可能导致荒谬看法的地方忘记了这一点,但他仍然明确地谈到了这一点:
  “无论在哪一个国家,土地和劳动的年产品中补偿资本的那个部分,始终只直接用来维持生产劳动者的生活。它只支付生产劳动者的工资……一个人无论把自己的哪一部分基金用作资本,他总是希望这部分基金能得到补偿并带来利润。因此,他只用它来维持生产劳动者的生活;这部分基金为资本家执行了资本的职能之后,便成为生产劳动者的收入。”(第2篇第3章)
  换句话说,全部社会预付资本由可变资本组成,即由这样一个价值额组成,它只有在资本家用它购买劳动力时才为资本家执行资本职能,然后转化为生产劳动者的收入,或者说,由生产劳动者用来购买必要生活资料。
  亚·斯密是在考察资本积累那一章里指出这一点的。在资本积累、资本新形成时,情况确实是这样,这时资本的最初职能和生产方式、资本的真正实质暴露出来。这里我们在资本的原初状态看到这种情况。新形成的资本所具有的情况,对于原有资本也是正确的。那里所看到的东西,只是这里大部分看不到的东西。因为按照亚·斯密的意见,现在资本的预付实际上可以只由可变资本的预付组成,所以积累实际上就把这个资本归结为每年生产的财富中转化为可变资本或花在工资上的那个追加部分。
  “一年内节约下来的东西,象一年内支出的东西一样,照例是会被消费的,而且在同时被消费;不过,它是被另一些人消费的。富人一年内支出的那部分收入,大多数情况下由无用的食客和家仆消费,这些人决不会用任何一点东西来补偿他们的消费。富人一年内为获取利润而节约的那部分收入,直接作为资本使用,消费相同,时间也几乎相同,但由另外一些人消费,由农业劳动者(labourers)、工业劳动者〈与农业劳动者《labourers》相对而言的工业劳动者(manufacturers)〉和手工业者消费,他们把自己一年消费的价值再生产出来,并提供一笔利润。”(同上)
  在第1卷第574—575页[注:见《马克思恩格斯全集》中文版第23卷第646—647页。——编者注]我们已经指出过,亚·斯密把生产劳动进行消费和生产劳动者消费财富混为一谈,而由于生产劳动进行消费,每年生产的财富中的追加部分作为资本执行职能,因此作为资本积累;这样一来,全部积累就转化为可变资本的追加使用,——然而这完全符合斯密的前提的概念,即全部预付资本从社会观点看直接地或最终地就是预付可变资本,社会资本就其总体来看仅仅由可变资本组成。[注:本章从这里往下到本页末止由恩格斯收入《资本论》第2卷正文(《马克思恩格斯全集》中文版第24卷第432—433页)。——编者注]
  [138]李嘉图几乎是逐字地重复亚·斯密的这种积累理论:
  “必须懂得,一个国家的全部产品都是要消费掉的,但究竟由再生产另一个价值的人消费,还是由不再生产另一个价值的人消费,这中间有难以想象的区别。我们说收入节约下来加入资本,我们的意思是,加入资本的那部分收入,是由生产工人消费,而不是由非生产工人消费。”(大·李嘉图《政治经济学和赋税原理》1821年伦敦第3版第163页)
  事实上,李嘉图乐于接受亚·斯密关于商品价格由工资+剩余价值,或可变资本+剩余价值组成的理论。他和斯密争论的问题是,1.关于剩余价值的各个组成部分:李嘉图把地租排除在剩余价值的必要的要素之外;
  2.实际的向前推进:李嘉图把商品价值分解为这些部分。因此,价值量是前提。价值各组成部分的量的总额是既定的。斯密却相反(他常常背离自己固有的比较深刻的见解),在他那里,工资、利润等等是事先假定的,因此价值量是事后由它们相加得出的。
  “李嘉图忘记了,全部产品不仅分为工资和利润,而且还必须有一部分补偿固定资本。”
  (拉姆赛所说的同其他资本相区别的固定资本,正是我所说的不变资本即劳动资料和生产材料。)(拉姆赛,同上,第174页注)
  拉姆赛顺便说道:
“价值取决于(1)任何商品(从第一个到最后一个)中包含的全部劳动量。(2)取决于这种劳动的产品的一定部分作为固定资本存在的持续时间,也就是以一种虽然有助于未来商品量的增长,但不构成维持工人生活的资料这样一种形式存在的持续时间。”(同上,第59页)
  第二点意见很重要。不变资本中有一部分,或以价值或以实物形式,加入用于消费并且本身形成社会年收入的商品产品量,即使这一部分,在一定的“持续时间”也作为不变资本执行职能。不管我们怎样考察问题,——是从个人观点考察,还是从社会观点考察,——这一“部分劳动产品”(虽然它后来构成消费基金要素)在一定的时间内作为不变资本执行职能。这个部分还必须不断地被再生产出来。因此,社会劳动产品的一定部分虽然转化为适于消费的商品,但始终要作为不变资本执行职能。这就是A部类[36](我们以后要对它进行考察)的不变资本。
  约·斯·穆勒先生自然是以其特有的学究式的妄自尊大重复斯密传给他的后继者们的理论:
“……资本家用于生产的费用……由支付劳动的工资构成。直接付出的工资占每个资本家开支的相当大一部分。其中包括用在材料、工具和建筑物上的费用。但是材料和工具是由劳动生产的;因为我们所假设的资本家不是代表单独一个部门,而是代表全国生产工业的一个类型,所以我们可以假设,他自己生产工具,提供材料。他借助预支的费用完成这件事,这些费用也全是由工资构成。如果我们假设他不生产而是购买工具和材料,那么事情也不会有变化:他补偿另一个生产者所支付的工资。不错,他补偿给他的还有利润,如果他自己生产这些东西,他自己就会获得这部分费用的利润,就象获得其他部分费用的利润一样。但事实终归是事实,在整个生产过程中,从材料和工具直到成品,全部费用仅仅只由工资构成;例外的只是参加进来的资本家中的那样一些人,他们为了公共利益〈!〉到工序完成得到自己的一份利润。最终的产品中不构成利润的那一部分,全都是对工资的补偿。”(约·斯·穆勒《政治经济学原理》1868年伦敦大众版第253页)
  事实上,约·斯·穆勒先生在更早的一部著作中就企图用一个例子来说明和解释斯密的以及李嘉图的理论。为了便于计算等等,他在那里曾假设,由于某种发明,种植谷物的资本家(租地农场主)不需要固定资本和种子了。(《略论政治经济学的某些有待解决的问题》1844年伦敦版[第100页])
  (资本家必须象其他任何不是资本家的商品生产者一样支付自己的生产资料的价值。至于这种商品价值的一部分由无酬劳动,也就是由剩余价值组成这一事实,丝毫不会使这些商品的价值发生变化,因而也不会使资本家必须支付这个价值这件事发生变化。因此可以认为,资本家由于必须把自己的生产资料价值,即他的资本的现实要素的价值,以货币形式投入流通,所以他由此也会提供剩余价值流通所必要的货币。于是,一个资本家为支付不变资本而投入流通的货币额,同时对另一资本家来说(其实在每一单个场合,情况看来也是这样)就表现为他的剩余价值流通所必需的货币。例如,织布业主购买纱、机器、煤等等。这些生产资料的价值中也包含着剩余价值。这些货币由织布业主作为他的不变资本的形式预付出去或投入流通,但是,同时这些货币把生产纱、机器、煤等等的资本家的剩余价值转化为货币。他们可以用这些货币再去购买个人消费的麻布,这些货币又可以实现织布资本家的剩余价值。但是每一单个资本家,就他个人来说,不能把他预付在不变资本上的并且由于出售商品而不断重新流回他手里的那些货币当作收入花费;他任何时候也不能把这些货币当作他的剩余价值的货币形式花费。对于单个资本家来说是正确的事情,对于单个资本家的总数,对于资本家阶级来说,也是正确的。由此产生出全部的混乱。构成不变资本——不论是单个资本家的还是全社会的——的商品量的价值,就象资本主义生产的所有商品的价值一样,可以分解为资本的不变部分+资本的可变部分+剩余价值。(但是这也适用于单个资本家的每个局部产品,特别是当他的产品由离散的产品,如谷物、机器等的量构成时,这种情况是显而易见的。)对我们来说,这是孤立的社会的局部产品。但是,如果从一部分产品的角度看问题,那么这个[外观]就会消失。以不变资本形式执行职能因而通过买卖在各资本家之间进行分配的商品量,只是社会商品量或年产品的一部分。作为这样一个特殊部分,它只不过是社会不变资本价值的实物形式。这个商品量既不包括工资花费在上面的商品量,也不包括剩余价值花费在上面的(或在其中得到实现的)商品量。它的价值——就是社会产品价值减去工资价值,再减去剩余价值。
  [139]可见,必须预付在构成不变资本的那部分社会商品量的流通上的货币,并不预付在构成剩余价值的商品量的流通上,同样也不预付在构成工资的商品量的流通上。关于这一点应该在后面比较详细地叙述。)
  约·斯·穆勒先生又说:
  “从长远来看〈这应该是时间持续的意思〉〈这是斯密的“最终”这个词的穆勒式的文雅的代用词,它是同“直接地”一词相对而言的〉,资本本身全部分解为工资,当资本因产品出售而得到补偿时,会再转化为工资。”[37]
  前面我们说过(第1卷第553页):
  “剩余价值作为资本价值的周期增加额或处在过程中的资本的周期果实,取得了来源于资本的收入的形式。”[注:见《马克思恩格斯全集》中文版第23卷第622页。——编者注]如果资本家每年消费剩余价值,就象剩余价值每年被生产出来那样,那么资本家就是把它当作收入来花费。这是他的产品价值中每年他可以作为私人消费者花费的那个部分。相反,如果他把剩余价值转化为资本,如果他把它投入资本,那么按照我们刚才叙述的斯密的理论,这也丝毫不会改变这部分产品的消费性质。区别只在于,资本家让其他人——不是家仆而是生产工人——消费掉这部分产品。
  至于这种剩余价值在不同的人之间进行分配,一部分以生产资本家的利润的名义,另一部分以借贷资本家的利息的名义,第三部分以土地所有者的地租的名义,被装入私囊和消费掉,这完全不会使事情发生变化,全部年剩余价值仍然表现为资本的年收入,并且作为这种收入可以被非生产地消费掉。
  商品价值的另一个组成部分(按照斯密的分析),是资本家用来购买劳动力,从而以工资形式支付给工人的可变资本价值。可变资本即同劳动力进行交换的实际商品(而不是这些商品借以预付出去的货币形式),不论是它的价值还是它的实物形式,实际上只不过是工人本身每年以实物形式和按价值生产出来的一部分商品量。这个部分作为可变资本进行预付只是资本主义生产过程所特有的表现形式。因为这部分年产品或年产品价值是劳动力的周期果实,每年由工人在资本主义生产过程中消费,所以即使它在资本家手中不构成任何预付的可变资本,它也可以看作是工人的年收入。这种收入分解为工人每年消费的必要生活资料和其他生活资料。
  可见,由于每年生产的社会产品的价值等于:
  可变资本+剩余价值,等于工资+剩余价值,
所以这个价值可以非生产地消费,可以加入资本家和工人的个人消费。年总工资构成工人阶级的年收入,这个收入的价值可以在一年中以价值相等的一部分年产品的形式被消费掉。年总剩余价值构成资本家阶级的年收入,资本家阶级每年可以用这个价值购买和消费年商品产品中代表剩余产品的那一部分。
  总之,每年生产的商品量的价值等于
  工人工资的价值+资本家阶级的剩余价值
  等于工人阶级的收入+资本家阶级的收入。
  这两种收入的总价值等于每年生产的商品量的总价值。一个总价值抵补另一个总价值。因此,每年生产的商品量可以作为收入花费和消费。
  由此可以得出结论,社会的,更确切地说,一国的或国家的年总生产归结为年收入,即归结为等于剩余价值总额的资本家阶级的收入和等于每年支付的工资总额的工人阶级的收入。因而,社会的全部年产品会进入社会成员的年个人消费。
  亚·斯密反对从他的理论中得出这种必然的结论。具有独创精神的思想家从来不会作出荒谬的结论。他们把这件事留给让·巴·萨伊和麦克库洛赫之流去做。[注:本段由恩格斯收入《资本论》第2卷正文(《马克思恩格斯全集》中文版第24卷第433页)。——编者注]
  亚·斯密在第2篇第2章先引述自己的理论,即商品价格分解为工资(可变资本)+剩余价值(工资+利润+地租),然后接着说:
“这个年产品〈“形成每一个国家的土地和劳动的全部年产品的一切商品整体”〉的全部价格或交换价值,必须分解为同样三个部分〈“劳动的工资,资本的利润或地租”〉,在国内不同居民之间进行分配,或是作为他们的劳动的工资,或是作为他们的资本的利润,或是作为他们占有的土地的地租。”
可见,全部年产品归结为收入,可以由相应收入的所有者消费。亚·斯密从正确的运用自己的价格理论一下子转到相反的论点。转变是通过不正确的举例、直接的歪曲进行的。
  “虽然一国土地和劳动的年产品的总价值这样在国内不同居民之间分配,构成他们的收入,但是就象我们把私人地产的地租区分为总地租和纯地租一样,我们也可以对一个大国全体居民的收入作这样的区分。
  私人地产的总地租包括租地农场主所支付的一切;纯地租则是扣除管理、修理的开支以及其他一切必要费用之后,留归土地所有者的东西,换句话说,是他不损及自己的财产而可以归入用于直接消费……的基金的东西。”(第2篇第2章)
  亚·斯密通过把年产品总价值归结为工资+剩余价值,或象他说的,归结为工资+利润+地租,从而把社会的年总产品归结为社会的年收入,也就是归结为一年中必须消费的产品。然后他企图借助于某些实际上是荒谬的作法,用“收入”一词来摆脱这种伤脑筋的处境。
  这里以单个土地所有者的地租为例,因为地租构成剩余价值的一部分,而且本身构成分解为收入的产品的价值的一部分。
  现在在这个例子中必须说明,收入并不分解为收入,这一点对于单个土地所有者就象对于社会一样是不正确的。但是怎样证明这一点呢?借助于荒谬的概念混淆。
  [140]第一个歪曲:假设资本家(租地农场主)提供进行耕作所需要的全部资本,也包括建筑物等等。资本家为进行修理,一般来说为补偿所消费的不变资本,维修他的农具所花费的那部分产品价值,不形成他生产的剩余价值或他的收入的任何一部分。这部分价值形成补偿生产中消费的不变资本的产品的一部分价值。如果不是租地农场主,农业资本家,而是土地所有者提供这部分不变资本,并且必须使它得到补偿,这一点并不会使事情发生变化,不论是前一种情况还是后一种情况,这种产品中必须用于修理费的那部分价值,不构成剩余价值的任何组成部分,但是构成补偿一部分不变资本的那个组成部分。这部分产品价值不构成地租即剩余价值的任何部分(斯密把地租只看作剩余价值的一部分)。它只具有属于地租的外观,因而构成土地所有者的一部分收入,因为租地农场主并不直接用它补偿自己的不变资本,而是把它支付给土地所有者,后者为租地农场主补偿这部分不变资本。补偿不变资本的这部分产品价值是由A花费,还是由B花费,这绝对不会使事情发生任何变化:这部分价值照旧不构成收入,而构成补偿不变资本[的基金]。亚·斯密企图这样掩盖这个伤脑筋的事实,他先让租地农场主把产品价值的这个不变部分支付给土地所有者,然后让土地所有者再把它偿还给生产基金:也就是说,斯密让土地所有者不是作为土地所有者,而是作为与租地农场主相结合的资本家。如果租地农场主有合伙人,并且把价值产品的一定部分支付给他作为维修建筑物等等的费用,以便补偿已消费的不变资本,难道这部分价值会因此而成为某人的收入或剩余价值的一个部分吗?
  第二个歪曲。但是,亚·斯密并不满足于这种虚假的搪塞之辞,他又谈到了单个土地所有者从自己的地租中支付的所有其他费用。比如说,土地所有者必须向为他收租的地产管理人支付工钱,向对他的地产实行抵押借款的资本家支付利息,向国家缴纳税款。所有这些同样构成这位善良的土地所有者的纯收入的正当扣除。但是这绝对不会使下面这件事发生任何变化,即作为地租支付给他的那部分土地产品价值,构成由他、他的管理人、他的债权人以及国家作为收入进行消费或可以进行消费的剩余价值。至于剩余价值起初由A得到,但并不全部留在A的口袋里,而是必须同B、C、D等等分享,这一点与这个剩余价值的经济性质没有任何关系,不管从剩余价值形成产品价值的一个组成部分来看,还是从它形成收入来看,都没有任何关系。
  但是亚·斯密说“我已经拯救了自己的灵魂”[38]——他现在开始精力充沛地进行论述,流动资本的一部分(这里他所指的正是每年生产的商品资本中必须补偿固定资本的那个部分)
“构成社会纯收入的一部分”(同上),
就是说,从社会观点看,这个部分任何时候也不会分解为剩余价值或工资,同样,
“构成个人或社会的固定资本的机器和其他生产工具,不是总收入或纯收入的部分”[第2卷第272页]。
  亚·斯密只把产品价值中补偿固定资本的那个部分看作补偿不变资本,因而既不分解为工资也不分解为剩余价值,也就是说不分解为任何人的收入的价值部分。这种情况在这里完全无关紧要。只要产品价值有一部分分解为不变资本价值,而不分解为工资,不分解为剩余价值,有这样一个结果就够了。斯密为总收入和纯收入所做的区分,只是为了对与他的价格分解相矛盾的这个结果进行辩解,对他和他自己相矛盾进行辩解。总收入——这是完全不能说明总商品产品的词句。至于这个总商品产品的价值分解,——不是分解为收入,——这在总收入价值大于纯收入价值这句话中已经说出来了。如果纯收入指的是剩余价值,那么这就是说,总产品价值分解为补偿不变资本所需要的东西+可变资本+剩余价值,剩余价值等于纯收入。如果说的是产品中什么部分分解为收入,那么可变资本也分解为工人的收入,结果是,产品价值分解为生产产品时损耗的不变资本的价值+收入(等于工资+剩余价值)。
  亚·斯密不敢做,而他的庸俗化者让·巴·萨伊敢于去做的,就是从斯密的价格分析得出逻辑的结论。他直截了当地说,从社会观点看,总收入和纯收入没有任何差别,因此,全部社会产品分解为收入,每年由工人当作工资,由资本家当作利润,由土地所有者当作地租,全部用掉。
  “一个人拥有一万法郎收入并且把它们全部吃光,——是否因为他把收入全部用掉就应该把他看作是没有收入的人呢?”
  纯产品只能和私人利益有关系,“每一个企业主从局部出发〈可见这种事纯粹是主观的〉,把他所得到的东西扣除他所支付的东西以后的余额看作纯产品;然而他所支付的东西,他预付出去的东西,对接受他的支付的人来说是纯产品。呢绒厂主向农民购买羊毛:付出的价值对他本人来说是预付,对农民来说是利润,是农民收入的一部分。农民又只把他所得到的东西,他的返回来的费用看作纯产品;而他的费用本身又构成某人的收入——例如他的耕地人,他对后者的劳动进行支付。
  因此,一切产品的总价值,是作为收入在社会上进行分配的”。(让·巴·萨伊《论政治经济学》1817年巴黎第3版第2卷第64页)
  [141]由此可见,由于所有商品的价值都分解为工资+剩余价值(分解为工资+利润+地租),而且每一个价值组成部分都构成工人、资本家或土地所有者的收入,资本家的预付可变资本分解为工人的工资,从而分解为收入,所以社会总年产品的价值分解为各种收入,因此可以在一年中进行消费。
  至于价值的不变部分,生产中消费的生产资料的价值,年产品价值中构成不变资本的那一部分,则只是主观的假象,只有从单个资本家的观点来看才是真实的。所以,充当一个人的不变资本,总之是充当资本的东西,事实上是另一个人的收入——这句话从那时起在庸俗经济学中处处可见。
  最后,虽然当考察每一单个资本家时,所生产的价值产品只等于工资+剩余价值,而且与产品的总价值不相符,后者还包括这一资本家所使用的、所消费的、但不是年劳动所生产的生产资料的价值,——但从社会观点看,资本家阶级每年生产的价值,与产品总价值,与物化在社会年产品中的价值是相符的。因此资本家阶级可以用等于工资+剩余价值的价值购买社会年产品。
  “要完全了解这种收入,就必须注意,产品的全部价值分解为各种人的收入,因为任何产品的总价值,都是由促成它的生产的土地所有者、资本家和勤劳者的利润〈工资在这里正是叫做“勤劳者的利润”〉相加而成的。因此,社会的收入和生产的总价值相等,而不象某派经济学家所认为的那样,只和土地的纯产品相等。”(同上,第63页)
  顺便指出,萨伊的这个发现也为蒲鲁东据为己有。
  斯密的价格分析导致这个真实的、从他的观点看是必然的、但显然是荒谬的结论,这种分析很自然地引起了相反的意见,这种意见恰恰来自把斯密教条当作基础的人,这个人在这个基础上声称对商品价格的任何确定的分析都是不可能的,——这就是施托尔希。
  “让·巴·萨伊先生断言……一国的收入等于它的总产品,也就是说,从收入中没有给生产费用留下任何东西……很明显,年产品的价值一部分分解为资本,一部分分解为利润。年产品价值的这两部分中,每一部分都要有规则地用来购买国家所需要的产品,也用来维持该国的资本和更新它的消费基金……”(施托尔希《论国民收入的性质》1824年巴黎版第128、134—135页)
  “我们要问,靠自己的劳动来满足自己的全部需要的家庭(我们在俄国可以看到许多这样的例子)……其收入是否等于这个家庭的土地、资本和劳动的总产品?难道一家人能够住自己的粮仓和畜棚,吃自己的谷种和饲料,穿自己役畜的毛皮,用自己的农具当娱乐品吗?按照萨伊先生的论点,对所有这些问题必须作肯定的回答。”[同上,第135—136页]“萨伊把总产品看成社会的收入,并由此得出结论说,社会可以把等于这个产品的价值消费掉。”[同上,第45页]“一国的纯收入,不是由已生产出来的价值超过消费了的价值总额的余额构成,就象萨伊所描写的那样,而只是由已生产出来的价值超过为生产目的而消费了的价值的余额构成。因此,如果一个国家在一年内消费这全部余额,那么它就是消费自己的全部纯收入。”[同上,第146页]“如果承认一个国家的收入等于该国的总产品而不必扣除任何资本〈即不变资本,因为可变资本的价值由工人作为工资,因而作为收入消费〉,那么也必须承认,这个国家可以把年产品的全部价值非生产地消费掉,而丝毫无损于该国的未来收入。”[同上,第147页]“构成一个国家的资本〈即不变资本〉的产品,是不能消费的。”[同上,第150页]
  可见,施托尔希认为,社会年产品的价值一部分补偿不变资本(生产资料),另一部分分解为工资和剩余价值。[注:本章从这里往下到第135页止由恩格斯基本上收入《资本论》第2卷正文(《马克思恩格斯全集》中文版第24卷第434—439页)。——编者注]但是,施托尔希忘记告诉我们,这个结果和他所接受的斯密的价格分析,是怎样一致起来的,而按照这种分析,每个商品的价格等于工资+剩余价值,也就是说不包括不变资本部分。只是(通过萨伊)他才弄清楚,这种价格分析导致荒谬的结果。
  西斯蒙第曾专门研究资本和收入的关系,但事实上把对这种关系的特别说法当成他的《新原理》的特征。他没有说出一个有科学意义的字眼,对于问题的解决,没有做出一丝一毫的贡献。
  巴顿、拉姆赛和舍尔比利埃都试图超出斯密的观点。但是,他们失败了,因为他们不能把不变资本价值和可变资本价值之间的区别与固定资本和流动资本之间的区别截然分开,从而一开始提出问题就是不正确的。
  结果是:斯密的混乱思想一直延续到今天,他的教条成了政治经济学的正统信条。

[142](b)规模不变的再生产


(A)假定没有货币流通


  如果我们考察社会资本,即总资本——各单个资本形成它的分数部分,这些部分的运动,既是它们的单个的运动,同时又是总资本运动的不可缺少的环节——在一年内执行职能的结果,也就是说,如果我们考察社会在一年间提供的商品产品,那么,就会清楚地看到:社会资本的再生产过程是怎样进行的,这个再生产过程和单个资本的再生产过程相比有哪些不同的特征,二者又有哪些共同的特征。年产品既包括社会产品中补偿资本,即加入生产以及再生产的那些部分,也包括归入消费基金的、由工人和资本家消费的那些部分,就是说,既包括用于生产消费的部分,也包括用于个人消费的部分。这种消费既包括商品世界的再生产,也包括资本家阶级和工人阶级的再生产,即这些阶级的维持,因而也包括总生产过程的资本主义性质的再生产。
显然,我们应当分析的是第三个流通公式:
特别是由于我们当前的目的,我们应当从W′的各个组成部分的价值补偿和物质形式补偿的观点来进行分析。在分析单个资本的产品价值时,我们假定,单个资本家通过出售他的商品产品,先以货币形式补偿他的资本的组成部分,然后通过再购买各种生产要素,把它们再转化为生产资本。现在,我们已经不能再满足于这个假定了。既然这些生产要素是客观的东西,那它们就同用来和它们交换并由它们来补偿的单个产品一样,是社会资本的组成部分。另一方面,工人用工资和资本家用剩余价值所消费的那部分社会商品产品的运动,不仅是总产品运动的一个不可缺少的环节,而且同单个资本的运动交织在一起。因此,只是假定这个部分存在,是不能说明这个过程的。
  直接摆在我们面前的问题是:生产过程中消费掉的资本,就它的价值和物质来说,怎样由年产品得到补偿?这种补偿的运动怎样同资本家对剩余价值的消费和工人对工资的消费交织在一起?因此,首先要研究规模不变的再生产。其次,不仅要假定产品按照它们的价值交换,而且还假定生产资本的组成部分没有发生任何价值革命。如果价格同价值发生偏离,这种情况对社会资本的运动并不会有任何影响。在这种情况下,进行交换的仍然是同一产品量,虽然对单个资本家来说,不再和他们各自预付的资本成比例,不再和他们每人各自生产的剩余价值量成比例。至于价值革命,那么,只要它是普遍地和均衡地发生的,就不会改变全部年产品的价值组成部分之间的比例。然而,只要它是局部地和不均衡地发生的,就会成为干扰。第一,这种干扰只有在被看作是对保持不变的价值比例的偏离时,才能被认为是干扰;但是,第二,关于年产品价值例如以一部分补偿不变资本,以另一部分补偿可变资本的规律一经得到证明,那么,价值革命,无论在不变资本的价值上还是在可变资本的价值上发生,都不会改变这个规律。它所改变的,只是作为这种或那种资本执行职能的价值部分的相对量,因为原有价值将被另外的价值取而代之。
  最后,为使问题简化成它的最简单的情况,一开始就必须完全撇开货币流通,就是说,也撇开资本的货币形式。流通的货币量显然不构成社会总产品价值的任何组成部分,它是保证这些产品的流通的。
  因此,如果说的是总产品价值分为不变价值等等,那么这个问题本身并不以货币流通为转移。只有在撇开货币流通来考察问题之后才会看出,以货币流通为媒介会出现怎样的景象。
  当我们从单个资本的角度来考察资本的价值生产和产品价值时,商品产品的实物形式对于我们的分析是完全无关的,例如,不论它是机器,是谷物,还是镜子都行。这始终只是举例而已,任何一个生产部门都同样可以作为例证。我们必须考察的是直接的生产过程本身。这种生产过程,在每一单独场合,都表现为一个单个资本的过程。说到资本的再生产,我们只需要假定,代表资本价值的那部分商品产品,会在流通领域内再转化为它的生产要素,从而再采取生产资本的形式。同样,我们只需要假定,工人和资本家必定会在市场上找到他们用工资和剩余价值购买的商品。但是,当我们考察社会总资本及其产品价值时,这种仅仅从形式上来说明的方法,就不够用了。产品价值的一部分再转化为资本,另一部分进入资本家阶级和工人阶级的个人消费,这在表现出总资本执行职能的结果的产品价值本身范围内形成一个运动。这个运动不仅是产品的价值补偿,而且是物质补偿,因而既要受社会产品的价值组成部分相互之间的比例的制约,又要受它们的使用价值,它们的物质形式的制约。
  社会总年产品分成两大部类:(Ⅰ)消费资料,具有进入资本家阶级和工人阶级的个人消费的形式的商品;(Ⅱ)生产资料,具有必须进入或至少能够进入生产消费的形式的商品。

(Ⅰ)消费资料的生产


  直接提供消费资料——食物、衣服等等的所有生产部门,从社会观点看,构成一个单一的生产部门,构成一个种类(虽然它由极其不同的种和亚种组成),即消费资料的生产部门。这个生产部门所使用的全部资本,从社会观点看,形成社会资本的一个单一的大部类,形成社会资本中用在消费资料生产上的部分。
  这个资本分成两个组成部分:[第一,]可变资本。从价值方面看,这个资本等于它所使用的社会劳动力的价值,也就是等于它所雇用的全部工人的工资价值总额。从物质方面看,这个资本是由发挥作用的劳动力构成的,即由它所推动的活劳动本身构成的。
  第二,这个资本分成不变资本,它等于为生产生活资料而使用的全部生产资料的价值。生产资料一方面分成固定资本,机器、劳动工具、容器等、建筑物、役畜等等,或分成流动不变资本,由辅助材料、原料、半成品等组成的生产材料。
  至于年的(一年中生产的)总商品产品,它的价值由下列部分组成,第一,一年中所使用的剩余劳动生产的剩余价值;第二,等于所使用的劳动力或可变[143]资本的价值的那部分价值,即体现了一年中所花费的必要劳动时间的那部分产品价值。可见,为生产生产资料所使用的劳动力的价值构成产品价值、消费资料价值的一部分,并作为这样一个部分再现出来。然而,不论是劳动力本身,即工人,还是发挥作用的劳动力,都不作为商品产品的一个部分再现出来。发挥作用的劳动力,活劳动,只属于生产过程。它消失在自己的结果即产品中。它只是在资本的生产形式上作为资本的职能,作为资本的,并入资本的动力,发挥作用。它不构成资本生产的商品资本的任何要素。但是另一方面,必须以资本可以随时在市场上找到雇佣工人为前提。否则它就不能把劳动力并入自身。另一方面,同样很明显,不论是商品(本来意义的)还是工人,都是过程的产品。因为工人通过消费他们得到的那部分消费资料而保存和再生产自身,并且象我们还在第一卷[39]所指出的,由于过程的全部机制的作用,这些工人最终仍然作为雇佣工人出现在市场上。可见,如果考察全过程,事实上工人,即作为雇佣工人的工人,会象生产资料(以及生活资料)一样地被再生产出来,作为资本被再生产出来。但是,工人就象他们的劳动本身一样,不是商品产品的组成部分,虽然他们的价值是商品产品的组成部分。
  商品产品——消费资料——的价值的第三个组成部分,等于生产它们时消费的生产资料的价值,即生产它们时消费的不变资本的价值。这个价值不包括生产它们时所使用的不变资本的全部价值。生产材料在这种情况下全部被消费,所以它们的价值全部转移到产品上。但是固定不变资本只有一部分被消费。因此,[只有]这部分固定资本的价值转移到商品产品上。另一部分固定资本,即机器、建筑物等等照旧存在,并继续执行职能,虽然它的价值减少了。如果我们考察产品价值,那么这部分继续执行职能的固定资本对我们来说就不存在了。这个部分是独立于这个新生产的商品价值以外的那部分资本价值,它存在着,继续与新生产的商品价值并存。这一点在考察单个资本的产品价值时已经指出过(《资本论》第1卷第179页及下一页[注:见《马克思恩格斯全集》中文版第23卷第238—239页。——编者注])。在考察社会资本的再生产时,我们在这里对它的考察一开始不谈货币流通,从而也不谈货币资本,这时产品——商品——价值的这种演绎(抽象)已经不够了。如果我们考察单个资本的年商品产品,那么为生产年商品产品所使用的固定资本转移到产品上的价值,不仅仅等于实际上以实物形式被补偿的固定资本的价值。它等于固定资本的年平均损耗,固定资本必须这样得到补偿,即在它的整个生命期满后,例如20年后,它能够以实物形式全部得到更新。在这种情况下,这个价值的1/20(等于1000,如果固定资本的价值例如是20000的话)是否每年用于实物形式的替换,是无关紧要的。相反,从社会资本的观点看,在解决一年中消费的资本怎样能够由商品产品来补偿这个问题时,一开始考虑的只是所使用的固定资本的价值中必须以同种新物,即以实物形式,部分地或全部地实际进行替换的那一部分。应该指出,下面对年价值产品(由消费资料构成的那一部分)进行的考察中,设想的是转移到产品上的不变资本价值的固定部分,只等于固定资本价值中为了能够以同样的规模重新开始再生产而必须以实物形式进行补偿的那一部分。
  我们假设,预付在社会生活资料生产上的不变资本等于400镑。这400镑在这里等于生产这些生活资料时消费的生产资料的价值,这些生产资料必须以实物形式得到补偿,以便在下一年再生产过程得以重新开始。设可变资本等于100镑,也就是说,这是生产这些生活资料使用的劳动力的价值。最后,设剩余价值率等于100%,因而,等于预付可变资本价值的剩余价值量将是100镑。
  在这个假设中,产品的年价值,即一年中社会生产的全部消费资料的价值等于600镑,即。这全部产品以消费资料的,即可以进入社会消费的商品的实物形式存在,按照我们的假设,它们实际上也进入社会消费,因为我们的前提是规模不变的再生产,也就是说,前提是工人消费全部工资,资本家消费全部剩余价值。
  如果我们先考察产品的1/6,它等于100镑,即等于资本家阶级的剩余价值,等于体现年剩余劳动或无酬劳动的剩余产品,那么这个部分全部由资本家消费,并且它象这种社会产品的任何其他部分一样,以它可以直接进入消费的形式存在。它一部分由必要生活资料组成,一部分由奢侈品组成。在这里,从社会角度进行的考察和从单个资本的角度进行的考察,区别只在于:生产某种生活资料的单个资本家,以他自己生产的产品的实物形式只消费自己剩余价值的某一部分,也可能完全不消费。他以各种并非他自己生产的商品量的形式消费这个部分,这种消费——他的剩余价值在整个一系列消费资料中的这种实现——对他来说,第一以出售他的产品为媒介,第二以花费货币为媒介,这些货币在购买他的各种消费资料时抵偿包含在他的产品中的剩余价值。相反,如果考察生产消费资料的整个部类的资本家,那么很明显,他们全体直接消费掉他们自己总产品的一部分,这个部分的价值等于这个总产品中包含的剩余价值。这些资本家中的每一个人;都按照他个人生产的剩余价值在全体资本家共同生产的剩余价值100镑中所占的份额,从总剩余价值中抽出必要生活资料和商品,而且,当然会发生每一单个资本家提供给消费基金的商品和他从这个基金中为个人消费抽出的商品之间的换位,以及这些商品的所有者的更换。
  (Ⅰ)的商品产品中价值100镑的这个1/6,前面已经说过,由必要生活资料和奢侈品组成。如果我们考察形成这个量的所有单个商品的价值,那么这些独立的商品本身中的每一个商品的价值都归结为。这就是说,它们的价值一部分由生产它们时消费的生产资料的价值组成,另一部分由生产中使用的劳动力的价值组成(这个价值等于商品中包含的可变资本,或工资),第三部分由剩余价值,由体现在商品中的无酬劳动组成。但是,因为所有这些商品的价值总额等于100镑,就是说,等于总产品中体现一年中付出的全部无酬劳动的那1/6价值,因而等于总年产品中(Ⅰ)这个部分包含的剩余价值,所以在(Ⅰ)中的资本家阶级可以把100镑的商品,即等于总产品价值1/6的商品量,从总产品中抽出、取走,把它并入自己的消费基金。如果考察的不是单个商品本身,而是把它们看作价值等于总产品价值1/6的局部产品,情况就会是,它们既不包含任何不变资本价值,也不包含任何可变资本价值。它们仅仅是剩余劳动的体现,因此,从不变资本和可变资本转移到总产品上的价值量,现在自然就集中在总产品的其他5个部分。(参看第1册第187页及以下各页[注:见《马克思恩格斯全集》中文版第23卷第247—248页。——编者注]
  总产品中价值100镑的第二部分的情况也是这样,它由在Ⅰ中工作的工人阶级消费。在作为总产品价值一个部分的它的价值中,只体现必要劳动。虽然商品(主要是Ⅰ的工人阶级从总商品量中得到的必要生活资料)由不变价值、可变价值和剩余价值组成,但是这些商品的价值总额等于100镑,就是说,等于商品量的第二部分价值,其中只包含工资(可变资本价值),或只体现必要劳动。
  对于单个工人来说,他们消费的产品同他们自己生产的产品不相符合,或者只是部分相符合。而他们全体作为阶级共同消费的量,只构成他们共同生产的[144]商品量的某一部分。
  其次,在这里,当我们撇开流通过程的媒介来考察再生产过程时,必须指出,Ⅰ的总产品的一部分被抽出加入工人的消费基金,是同Ⅰ的资本家阶级的可变资本重新得到补偿同时发生的。
  工人的个人消费同时就是他们个人本身的再生产过程或保存过程。个人消费保证工人不断存在和出现在劳动市场上。
  另一方面,可变资本作为资本借以存在的物质要素,就是劳动力本身。资本家通过购买劳动力补偿这个可变资本的价值,他付出的价值等于体现工人必要劳动的工人产品的价值(表现在必要生活资料和其他商品中的价值)。借助于Ⅰ的工人阶级的年产品的这部分价值,资本家不断重新购买会生产这个价值和剩余价值的劳动力。Ⅰ类别的工人阶级只是由于为了这个价值而不断向Ⅰ的资本家阶级让渡他自己的劳动力,才获得这些生活资料,才有可能在商品市场上购买这些生活资料作为自己的消费基金。因此,等于100镑v的这部分产品的消费本身包括:(1)这些商品的消费,它们离开商品市场,进入Ⅰ的工人阶级的消费基金;(2)由于消费这些商品,工人本身得到再生产;(3)工人由于不断反复地把自己的劳动力出卖给资本以换取他们生产的这部分商品量的价值,也就是说,由于可变资本价值转化为劳动力和被同一价值的劳动力所代替,他们发生再转化,并不断作为雇佣工人存在。工人的这种消费过程与资本的可变组成部分的补偿或不断再生产同时发生,并以此为条件。
  Ⅰ的这部分社会产品,其价值等于=200镑=总产品价值的2/6,因而它只是全部产品量的一部分,价值为200,即总产品价值的2/6,——这就是Ⅰ的资本生产的全部年价值产品。社会总劳动或整个社会工作日的一半体现为100镑,即总产品价值的1/6,这部分价值等于生产这些产品时使用的劳动力的价值,或者说,等于整个社会工作日中形成可变资本的,形成工资的,换句话说,进入工人消费的生活资料的价值的那一半。整个社会工作日的另一半由无酬劳动组成,它体现在总产品价值中等于它的剩余价值的那个部分中。在等于200镑的产品价值(分解为工资价值和剩余价值)中,体现了整个工作日。此外,在这个工作日中再不生产任何价值产品。不管在什么情况下,Ⅰ类别的商品(即一年中生产的社会消费资料)的总量是Ⅰ在一年中使用的劳动的产品。如果把它作为使用价值来考察,这就是劳动的产品。正是由于劳动以其不同的形式——生产不同的社会消费资料所需要的各种不同的形式——同构成生产的客观因素的生产资料相结合,结果,生产出Ⅰ的年产品。然而,Ⅰ所使用的劳动的这个年产品的总价值,不是这个劳动的价值产品。相反,Ⅰ的产品总价值等于,就是说,它等于一年中新生产的价值或年价值产品200镑(100v+100m)+400镑价值,这400镑不是Ⅰ的工人在一年中生产的,而是在他们的生产之前就作为他们消费的生产资料——他们劳动的客观条件——的价值而存在的,即作为不变价值进入他们的劳动过程。这400不变价值在产品总价值的4/6的价值中,在400镑中再现出来。但是,它不是以它能够重新作为不变资本执行职能,因而能够以实物形式补偿已消费的400镑不变资本的那种实物形式再现出来。现在它以消费资料的实物形式存在,就是说,它构成所生产的全部消费资料的一部分,这个部分等于这些消费资料总价值的4/6=2/3。为了补偿预付的、消费了的不变资本,它必须从这种消费资料的形式再转化为生产资料的形式。现在它作为Ⅰ的产品价值的不变部分存在,或者说,作为Ⅰ的产品中价值等于预付不变资本价值的那个部分存在。这个不变资本作为价值在自己的产品中被替换了,但是这个价值是以商品的实物形式存在的,这些商品不是作为生产资料执行职能,因而不是作为不变资本执行职能,所以不能以实物形式补偿已消费的不变资本。只有具备这种补偿条件时,再生产才是可能的。因此,现在我们还必须考察社会年产品的第二部类,生产资料。

(Ⅱ)生产资料的生产


  假定预付在生产资料生产上的已消费的资本价值,即生产这些生产资料时消费的不变资本价值,等于800镑。
  这里不包括(象在Ⅰ中一样)以其实物形式继续存在的固定资本,也不包括固定资本中用于下一年的再生产而没有以实物形式得到补偿的那部分价值。
  假设在Ⅱ这个生产部类使用的劳动力的价值,即一年中使用的并已消费的可变资本的价值等于200镑。假设剩余价值率象在Ⅰ中一样,是100%;换句话说,Ⅱ的整个年工作日一半是必要劳动,另一半是剩余劳动。于是,剩余价值量将等于200镑。
  因此,Ⅱ的总年产品价值等于1200镑,即800镑c+。这个总产品由生产资料,即不变资本的物质要素构成。Ⅱ的年产品这个价值中,只有4/12=2/6=1/3=400镑是Ⅱ的工人阶级生产的年价值产品;就是说,整个年工作日把价值400追加到产品上;这个工作日的一半是必要劳动——200,等于工资或可变资本的价值,工作日的另一半是剩余劳动,200镑剩余价值°因此,总产品价值400镑的一部分——1200的1/6,即200镑,由工人花费,另一部分即200镑由资本家花费,前者由工人当作工资花费,后者由资本家当作剩余价值花费。但是Ⅱ的产品的所有要素都由不进入个人消费的生产资料组成。所以这部分产品必须同Ⅰ的一部分产品相交换,Ⅰ的这部分产品等于400镑,代表它的资本主义生产者的不变资本价值,但是由于它所具有的实物形式(消费资料)而不能作为不变资本执行职能。于是,这里就发生Ⅰ的总额为400的商品(消费资料)同Ⅱ的总额为400的商品(生产资料)之间的交换,Ⅰ的商品代表它的资本主义生产者的不变资本价值,Ⅱ的商品分别代表它的生产者——资本家和工人——的剩余价值和工资,其价值等于他们生产的工资和剩余价值的总额。通过这种交换,商品产品价值的不变部分再转化为产品的生产资料形式,即转化为Ⅰ的这个不变价值可以重新作为不变资本执行职能的形式,这就是Ⅰ的再生产的不变条件。
  另一方面,由于同一交换,Ⅱ的商品产品中直接以生产资料的实物形式,即以不变资本的实物形式存在的可变资本价值(工资)+剩余价值,转化为Ⅱ的资本家和工人的消费资料形式,即转化为他们的产品的这部分价值可以进行个人消费的实物形式。这样一来,社会再生产过程的另一个条件就实现了,这个再生产过程把消费过程当作自己的一个条件或自己的一个环节包括进来。
  [145]其次,必须指出以下的情况。
  Ⅱ的资本家阶级,象Ⅰ的资本家阶级一样,把工人自己的一部分产品交给工人,用来支付劳动力的报酬——对劳动力进行预付,从而补偿自己的可变资本。(不要忘记,我们这里暂时还是把货币流通撇开不谈。)但是,Ⅱ的工人阶级必须用等于200镑的产品去交换Ⅰ的价值200镑的产品,以便能够消费它。
  400镑产品部分(消费资料形式)的交换,对于Ⅰ类别的它们的资本主义生产者来说,只不过是他们产品的不变价值部分从生活资料的实物形式转化为这些生活资料的生产资料,也就是说,这些资本主义生产者自己的产品的简单的不变价值部分转化为这个不变价值部分能够实际再作为不变资本执行职能的实物形式。在Ⅰ中这种交换只从作为资本家的资本家出发。对他们来说,这是资本的交换。相反,对于第Ⅱ类来说,这种交换只是它的产品中价值由工资(即可变资本价值)和剩余价值构成的那个部分的交换。对他们来说,由于这种交换,这个价值只是从其不可消费的商品的直接实物形式变为可消费的商品。
  现在我们已经处理好了Ⅰ的全部产品和Ⅱ的1/3产品。
  其中,以消费资料形式存在的、价值为600镑的Ⅰ的产品中,2/6=1/3=200镑,由它自己的生产者,资本家和他们的工人消费掉,即转入他们的消费基金。Ⅰ的产品的4/6或2/3,由第Ⅱ类别的资本家和工人消费掉,即被他们的消费基金吸收。相反,Ⅱ的产品中,生产资料中,只使用了4/12=2/6=1/3,即400镑。这个数额补偿了第Ⅰ类别资本家的不变资本。
  因而,在(Ⅱ)中还剩下2/3的产品价值800镑。[注:本章从这里往下到第148页止由恩格斯基本上收入《资本论》第2卷正文(《马克思恩格斯全集》中文版第24卷第470—474页)。——编者注]这个价值等于Ⅱ的商品产品中再现的价值,即在这个商品量的生产上所消费的生产资料的价值,或不变资本的价值。这个再现的价值并不是在Ⅱ的生产过程中生产的,而是当年以前作为不变的价值,作为这个过程的生产资料既定的价值,进入这个生产过程的。它现在存在于Ⅱ的那部分没有被第Ⅰ类别的资本家吸收的商品量中。因而,仍然保留在Ⅱ的资本家阶级手中的这个商品量的价值等于他们的全部年商品产品价值的2/3。
  关于生产一种特殊生产资料的单个资本家,我们可以说:他出售他的商品产品,或者说把它转化为货币。当他把商品产品转化为货币时,他也就把他产品中的不变价值部分转化为货币了。然后,他用这个已经转化为货币的价值部分,再向别的商品的卖者购买自己的生产资料,或是把他的产品的不变价值部分转化为一种它可以重新作为不变资本来执行职能的实物形式。而现在,这样假定就不行了。第Ⅱ类别的资本家包括生产生产资料的全体资本家。此外,留在他们手中的800镑商品产品,是社会产品的一部分;这部分社会产品不能和任何别的部分交换,因为年产品中已经不存在可以和它交换的任何别的部分。年产品的其余部分已经全部作了安排:一部分为社会的消费基金所吸收,另一部分用来补偿第Ⅰ类别的不变资本。第Ⅰ类别所有能够用来和第Ⅱ类别交换的东西已经全部交换完毕。
  只要我们注意到,Ⅱ的全部商品产品,按其实物形式来说,是由生产资料即不变资本的物质要素构成的,困难就很容易解决。这里出现的现象和上述Ⅰ中出现的现象相同,只是方面有所不同。在Ⅰ中,全部商品产品由消费资料构成,因此,其中由这种商品产品所包含的工资和剩余价值来计量的部分,可以由它的生产者本身消费。在Ⅱ中,全部商品产品由生产资料,即由建筑物、机器、容器、辅助材料、原料等等构成。因此,其中用来补偿这个部门所使用的不变资本的那一部分,能够以它的实物形式用Ⅱ的商品产品进行补偿,以便重新作为生产资本的组成部分执行职能。在Ⅰ中,一部分实物形式的商品产品由它自己的生产者个人消费掉,而在Ⅱ中,一部分实物形式的商品产品则由它的资本主义生产者在生产上消费掉。在前一种情况下,产品进入个人消费,在后一种情况下,产品进入生产消费。第Ⅱ类别消费的不变资本价值,是在第Ⅱ类别的一部分商品产品=800镑中再现的,而且是以实物形式再现的,这种形式的商品产品能立即作为新的生产资本(不变资本)执行职能。
  在Ⅰ中,600商品产品中价值等于工资和剩余价值的那一部分(总额=200),直接进入Ⅰ的资本家和工人的个人消费;另一方面,这个商品产品的不变资本价值(=400),不能再进入Ⅰ的资本家的生产消费,而要通过和Ⅱ的交换来进行补偿。相反地,Ⅱ的价值为1200的商品产品中价值等于工资和剩余价值的那一部分(总额=400镑),不会进入它的生产者的个人消费,而是必须首先和Ⅰ的产品交换。另一方面,这个产品的不变价值部分,却处在这样一种实物形式上,这种形式的不变价值部分——如果把第Ⅱ类别的资本家看作整体——能够直接再作为不变资本执行职能。
  Ⅱ的不变资本,由大量的不同的资本群构成。它们被分别投入不同的生产资料生产部门,例如,有若干被投入铁的生产,有若干被投入采煤业,等等。每个这种资本群或每个这种社会的群资本,又由许多大小不等的独立执行职能的单个资本构成。
  这一点在本节完全应该提出来,实际上在第一节也应该提出来。
  首先,社会资本,比如说1500(可以用百万等等来表示),分成不同的资本群;也就是说,1500的社会资本分成各个特殊的部分,其中每个部分都被分别投入一个特殊的生产部门;投入每个特殊社会生产部门的那部分社会资本价值,按照它的实物形式,部分地由各特殊生产部门的生产资料构成,部分地由它们的经营所必需的、具有相应的熟练程度的劳动力构成,这种劳动力由于分工,并按照它在每个特殊生产部门承担的局部劳动的特殊性,而各不相同。投入每个特殊生产部门的那部分社会资本,又由投入该生产部门的独立执行职能的单个资本的总和构成。这里所说的,既适用于Ⅰ,也适用于Ⅱ,因此,对这个问题的阐述应该放在本节开头,资本分为它的两大社会类别的地方。
  至于说Ⅱ中以它的商品产品形式再现的不变资本价值,那么,它有一部分作为生产资料再进入把它当作产品生产出来的特殊生产部门(或者,甚至进入这个生产部门的个别部分)。例如,谷物再进入谷物的生产,煤炭再进入煤炭的生产,铁再进入铁的生产(以机器形式),等等。
  当构成Ⅱ的不变资本价值的部分产品不再直接进入自己的特殊生产部门或自己那个生产部门的时候,这些产品只是变换了位置。它们以实物形式进入第Ⅱ类别的另一个生产部门,而Ⅱ的其他生产部门的产品则对它们进行实物补偿。这只不过是Ⅱ的这些产品的换位。它们全部作为补偿Ⅱ的不变资本的因素再进入生产过程,但不是进入Ⅱ的这个部门,而是进入它的另一个部门。
  [146]在这里,只要交换是在第Ⅱ类别的各个资本家之间进行的,这种交换就是一种实物形式的不变资本和另一种实物形式的不变资本的交换,就是一种生产资料和另一种生产资料的交换。这是Ⅱ的不同的单个不变资本部分的互相交换。只要产品不是直接在本生产部门作为生产资料使用,这些产品就离开生产它们的场所,进入另外的场所。换句话说(例如和Ⅰ的剩余价值的情况相似),Ⅱ的每个资本家按照他作为这800镑不变资本的共有者所占的比例,从这个商品总量中取出他所需要的相应的生产资料。如果生产是社会公有的,而不是资本主义的,那么很明显,为了进行再生产,第Ⅱ类别的这些产品同样会不断地再作为生产资料在这个类别的各个生产部门之间进行分配,一部分直接留在这些产品的生产部门,另一部分则转入其他部门,因此,在这个类别的不同生产部门之间发生一种不断往返的运动。
  (这个问题在后面应该作进一步的阐述。)
  象在Ⅰ中一样,Ⅱ的总商品量(1200镑的存在形式)是这个部门一年中使用的劳动的产品。然而只有产品的一部分价值——这才是这个劳动的年价值产品。这个劳动体现在产品的1/3价值中,即200v+200m。产品价值的另一部分等于800镑,因而还有价值为总产品2/3的那部分产品量——这只是再现的价值,而不是Ⅱ在一年中生产的价值,因而,由于Ⅰ使用的年劳动已经处理完毕,这就不是社会年劳动生产的价值。年劳动的产品是产品本身,而不是这个产品的全部价值,只是这个价值的一部分。包含在Ⅱ的生产资料中的价值,是由Ⅱ的新劳动的特殊具体形式转移到Ⅱ的产品上的,因为新的(因此也形成新价值)劳动恰恰必须以具体形式添加上去,它就是以这种形式把旧价值转移到新产品上(见第1册第[166]页[注:见《马克思恩格斯全集》中文版第23卷第225—226页。——编者注])。

[(Ⅲ)全部社会商品产品的分配对社会再生产过程的媒介作用]


  如果我们现在把年商品产品的全部运动展现出来,我们就会得出:

  垂直的符号│表示产品进入本类别生产者的个人消费;斜的符号\表示第Ⅰ类别和第Ⅱ类别的产品互相交换;最后,垂直的符号│表示产品用于生产它的那个类别的生产消费,即再进入本领域的生产消费。
  或者也可以这样表示:

  全部社会商品产品的分配在多大程度上对整个社会再生产过程起媒介作用,这个图式就在多大程度上包括这个过程。
  在(Ⅰ)的C400同(Ⅱ)的(V200+M200)进行交换之后,C400不仅象原来一样构成由消费资料组成的(Ⅰ)的产品的不变价值部分,而且以其原初的实物形式,以消费资料的生产资料的形式存在,也就是说,在这种实物形式中它可以作为(Ⅰ)的生产资本的不变部分执行职能,简言之,可以重新作为不变资本执行职能。从价值增殖过程的观点看,资本的这个部分是不变的,它的价值再现于产品中,或转移到新形成的产品上。这个部分不是这一价值增殖过程的产物。但是从劳动过程的观点看,它以生产资料形式,以劳动过程的客观因素形式存在,——同劳动过程的主观因素,发挥作用的劳动力即劳动相对立。只要资本的这个部分不以这种形式存在,它就不能作为生产资本的一个组成部分执行职能。
  另一方面,当这种交换完成以后,(Ⅱ)的(V200+M200)不仅作为Ⅱ的产品中体现可变资本价值或劳动价格和剩余价值的价值部分存在,即不仅作为产品的部分价值存在,而且这两部分价值现在还以实物形式,以使用形式存在,采取这种形式,可以使工资用于工人的再生产,剩余价值用于单个资本家的再生产(用于他们的个人消费)。
  Ⅰ和Ⅱ之间的这种交换,无非是形成社会产品一部分的生产资料同形成社会产品中同样价值部分的消费资料形式的它们的等价物的交换。社会产品总价值分解成的那些价值部分,并不因此而发生任何变化。
  如果在Ⅰ和Ⅱ进行交换之后我们来考察这个价值,并且考虑到两个[类别]只是构成产品社会价值的各个部分,我们就会看到:

  或者说,社会产品的价值分解成的几个组成部分,就象我们在一个1500镑的单个资本的产品上所看到的那样,这个资本由1200镑不变资本和300镑可变资本组成,积累率等于100%。价值(按照第1卷阐述的原理)等于1800镑,即1200c+300v+300m。
  [147]按照交换的图式(2),也就是,(Ⅱ)的V200和(Ⅱ)的M200处在消费资料形式上,而(Ⅰ)的C400处在生产资料形式上。
  这样,如果全部社会产品分为两大类别——消费资料和生产资料,那么它现在就表现为:

  (现在在Ⅱ中,既有直接用在消费资料生产上的生产资料,也有用在这些生产资料生产上的生产资料。实际上,当Ⅰ的生产资料在消费资料的生产中被消费时,Ⅱ正在生产新的生产资料来补偿它们。)
  可见,这个图式可分解成三个图式,这些图式使我们能够从不同的方面来考察问题:

  因此[注:本章从这里往下到第156页止由恩格斯收入《资本论》第2卷正文(《马克思恩格斯全集》中文版第24卷第474—478页)。——编者注],每年生产的消费资料的总价值,等于当年生产的Ⅰ的可变资本价值和新生产的Ⅰ的剩余价值(即等于Ⅰ当年生产的价值),加上当年生产的Ⅱ的可变资本价值和新生产的Ⅱ的剩余价值,也就是加上Ⅱ当年生产的价值。
  因此,每年生产的消费资料的总价值,等于年价值产品,即等于社会劳动在一年中生产的全部价值。
  整个社会工作日分为两部分:必要劳动(它创造V300的价值,或300镑)和剩余劳动(它创造300镑的追加价值或剩余价值)。这两个价值之和=600镑,等于一年生产的消费资料的价值(600镑)。
  因此,一年生产的消费资料的总价值,等于社会总工作日生产的总价值,即等于社会可变资本的价值加上社会剩余价值,也就是等于全部年价值产品。
  但是图式(Ⅰ)还告诉我们,虽然这两个价值量是一致的,Ⅰ的商品即消费资料的总价值,绝不因此就是在社会生产的这个部类内生产出来的。这两个价值量一致,是因为在Ⅰ的产品价值中再现的不变资本价值等于Ⅱ新生产的价值(可变资本价值加上剩余价值);因此,Ⅱ的可变资本加剩余价值能够购买对Ⅰ的产品生产者来说代表着不变资本价值的那一部分产品。这就表明,为什么尽管对Ⅰ的资本家来说,他们的产品价值也等于但是从社会的角度来考察,这些产品的价值却可以分成v+m;其所以如此,只是因为(Ⅰ)c在这里等于(Ⅱ)(v+m),社会产品的这两个组成部分通过交换来互相交换它们的实物形式。在这样交换以后,(Ⅰ)c的价值就再以生产资料的形式存在,而(Ⅱ)的价值则以消费资料的形式存在。
  正是这种情况,使亚·斯密断言,全部年产品的价值分解为v+m。这种看法,第一,只适用于由消费资料构成的那部分年产品;第二,其所以适用,并不是指这全部价值都是Ⅰ生产的,因而它的产品价值等于Ⅰ预付的可变资本价值(或等于Ⅰ使用的劳动力价值),加上Ⅰ生产的剩余价值,而只是指:Ⅰ()=Ⅰ(v+m)+Ⅱ(v+m),或者说,因为Ⅰc=Ⅱ(v+m),即Ⅰ的不变资本价值等于Ⅱ的可变资本价值加剩余价值。
  由此得出如下结论:
  虽然年社会工作日(即整个工人阶级全年耗费的劳动)和每个单个工作日一样,只分成两部分,也就是分成必要劳动和剩余劳动,因而,虽然这种工作日所生产的价值同样也只分成两部分,也就是分成可变资本价值即工人用来购买他自身再生产的资料的那部分价值,和资本家可以用于他自己个人消费的剩余价值,但是从社会的角度来考察,社会工作日的一部分是专门用来生产新的不变资本的,也就是用来生产那种专门供在劳动过程中作为生产资料,从而在伴随而来的价值增殖过程中作为不变资本执行职能的产品的。
  按照我们的假定,整个社会工作日表现为一个600镑的货币价值,其中只有1/3=200镑价值是生产消费资料的部类生产的,即生产那些最终实现社会全部可变资本价值和全部剩余价值的商品的那个部类生产的。因此,按照这个假定,社会工作日的2/3是用来生产新的不变资本的。虽然,从Ⅱ的单个资本家和工人的观点来看,社会工作日的这2/3(从Ⅱ的工人的观点看,社会工作日的这2/3由他们的劳动形成,从资本家的观点看,则是由他们的资本把劳动力并入自身所起的作用形成),即他们的总劳动,完全象社会工作日的其余的1/3在Ⅰ中那样,仅仅用来生产可变资本价值和剩余价值;但是,从社会的角度来考察,以及从产品的使用价值来考察,社会工作日的这2/3,只是生产已经耗费掉的不变资本(或正处于生产消费过程中的不变资本)的补偿物。个别地进行考察,工作日的这2/3生产的总价值对它的生产者来说只等于可变资本价值加上剩余价值,但这个工作日不生产[148]可以使它所生产的劳动力价值或剩余价值花费掉的那种使用价值。
  首先必须指出,无论在Ⅰ中还是在Ⅱ中,社会工作日没有任何部分是用来生产这两大生产部门所使用的并在其中执行职能的不变资本的价值的。它们生产的只是追加到分别由Ⅱ的800和Ⅰ的400构成的不变资本价值上的价值(Ⅱ的400和Ⅰ的200)。{以生产资料形式生产的新价值,还不是不变资本。它不过要在将来作为这种不变资本执行职能。}
  Ⅰ的全部产品,即消费资料总体,是使用价值;具体地就它的使用价值来考察,就它的实物形式来考察,它是Ⅰ中的1/3社会工作日的产品。它是这个部门所使用的具体形式的劳动,如织布劳动、烤面包劳动等等的产品,也就是这种劳动作为劳动过程的主观因素执行职能时所生产的产品。相反,Ⅰ的产品的不变价值部分,只是再现在新的使用价值上,再现在新的实物形式即消费资料的形式上,而以前它是以生产资料的形式存在的。通过劳动过程,这一部分的价值从旧的实物形式转移到新的实物形式上。但是,这2/3价值产品的价值=400镑,并不是在Ⅰ的价值增殖过程中生产的。
  从劳动过程的观点来看,Ⅰ的产品是新执行职能的活劳动和现有的、作为这种劳动的前提的生产资料(劳动把它们作为自己的物化条件而在其中实现)的结果。从价值增殖过程的观点来看也完全一样,Ⅰ的价值产品等于由社会工作日新追加的1/3所生产的新价值(可变资本价值=100+剩余价值=100,共=200)加上不变价值400。在这个不变价值中,物化着已经过去的、在我们所考察的Ⅰ的生产过程开始以前就已经完成的2/3社会工作日。Ⅰ的产品的这部分价值,在这个产品的一部分中表现出来。它存在于一定量的消费资料中,等于400镑,即2/3社会工作日。消费资料是这部分产品价值借以再现的新的使用形式。Ⅰ的消费资料的一部分=400c(Ⅰ),同Ⅱ的生产资料=400(200v+200m)相交换,事实上也就是并不包含当年劳动而在本年以前已经完成的2/3总工作日,同本年新追加的2/3工作日相交换。当年社会工作日的2/3,不能既用于不变资本的生产,同时又为它们自己的生产者形成可变资本价值加上剩余价值,除非把它们同每年生产的消费资料中包含着本年以前而不是本年耗费和实现的2/3工作日的那部分价值相交换。这是当年的2/3工作日同在本年以前耗费的2/3工作日的交换,是当年的劳动时间同本年以前的劳动时间的交换。这样,下面这个谜就可以得到解释:尽管整个社会工作日的2/3不是用来生产可变资本或剩余价值,而相反地是用来生产生产资料,以补偿当年所消费的不变资本,但为什么整个社会工作日的价值产品却可以分解为可变资本价值加上剩余价值。简单说来就是:Ⅱ的资本家和工人借以实现他们所生产的可变资本价值加上剩余价值的Ⅰ的产品价值的2/3(或2/9,如果从产品的社会总价值看),从价值方面考察,是本年以前耗费的2/3过去的劳动的产物。
  社会产品之和,Ⅰ+Ⅱ即消费资料和生产资料,就它们的使用价值来考察,具体地说,就它们的实物形式来考察,固然是当年劳动的产物,但是,只有当这种劳动本身被看作有效的、具体的劳动,而不是被看作劳动力的耗费,不是被看作形成价值的劳动时,才是这样。前面讲的一点,也只能从这个意义上去理解:生产资料只有通过加到它上面的、同它一起执行职能的活劳动,才能转化为新的产品,转化为当年的产品。但是,反过来,如果当年的劳动没有那种在它之外独立存在的现成的生产资料,没有劳动资料和生产材料,它也不可能转化为产品。
  我们举单个资本生产的产品价值为例,如机器的价值是600镑;对这个价值的分析表明,它由例如组成。我们知道,这个价值全部以生产资料的实物形式存在,我们还知道,产品的实物形式或使用形式绝对不会改变产品的价值结构,也就是说,完全不会使下述情况发生变化:这个机器价值的4/6,即价值400,等于生产它时消费的生产资料的价值,1/6,即100,等于生产它时消费的劳动力的价值(与价格相符合),还有1/6,即100,等于生产这个机器时加在它上面的无酬劳动的价值。所使用的生产资料价值等于400,以及新劳动追加的价值产品200分解为等于劳动力价值的价值和剩余价值,这些情况显然同生产资料的具体性质,同把这些生产资料转化为产品的那种劳动的具体性质,绝对没有任何共同之点。其次,既然必须把这个产品的价值再转化为资本等等,那么我们只要让400镑在流通过程中再转化为生产资料,工人花掉100v,资本家花掉100m就可以了。如果出现困难,就应该满足于这样一种想法:由于一系列把我们从本丢推给彼拉多[40]的交易,最终一切都会得到解决。一旦我们来研究社会资本,因而研究社会价值产品时,这些错误说法就站不住脚了。对于每一单个资本来说,商品世界具有外部存在。但社会资本及其产品则包括整个商品世界。其次,对简单再生产的考察,消除了关于简单再生产中生产出来的生产资料是新积累的资本形式这种错误说法。在简单再生产的范围内,这只能是对已消费的不变资本的补偿。
  (Ⅱ)的400(200v+200m)中包括的2/3社会工作日,只包含花费在生产资料生产上的劳动,这些生产资料必须用来补偿已消费的不变资本。因此,生产出来的价值对社会不会存在两次。它以新生产的生产资料——机器、铁、木材等等,螺丝钉等等,煤等等本身的形式存在。对于这种不变资本的生产者来说,它的价值也不会存在两次。这个价值对他们来说,直接作为他们自己产品的价值存在。但是,这个价值对于它的生产者来说所以要改变自己的形式,——生产资料转化为消费资料——,只是因为一部分消费资料要表现为它们的生产者的再现的不变资本价值,因此必须从消费资料形式再转化为生产资料形式。可见,虽然生产资料的这个价值组成部分对它们的生产者来说归结为消费资料,对社会来说它却归结为对已消费的不变资本的补偿。如果不注意这一点,那就只会象亚·斯密一样得出结论说,例如工人吃掉机器价值的一部分,但是机器本身是不能消费的。
“维持固定资本的全部费用,显然要从社会纯收入中排除掉……这种劳动<生产这个资本的劳动>的价格,的确是社会纯收入的一部分<可见,这里说的社会纯收入指的不仅是进入资本家的而且也指进入工人的个人消费的那部分社会产品〉;因为为此目的从事劳动的工人,可以把他们工资的全部价值用在他们的直接的消费储备上。但是就其他各种[149]劳动来说,价格和产品二者都加入这个消费储备;价格加入工人的消费储备,产品则加入另一些人的消费储备,这些人靠这种工人的劳动来增加自己的生活必需品、舒适品和享乐品。”(亚·斯密,同上,第2篇第2章)
  因此,资本主义社会每年也和西尼耳先生的野蛮人一样面临着同样的必要性。它要把自己年工作日的一部分献给“工业”,以便所生产的即使不再是弓,也是用来补偿已消费的不变资本的其他生产资料。[注:西尼耳夸夸其谈道:“野蛮人造弓就是从事工业,但他没有实行节欲。”(见第1册第582页[《马克思恩格斯全集》中文版第23卷第654—655页])
  恩·弗列罗夫斯基对俄国农民真正的节欲的描写值得引用来进行比较,他们不把自己的一部分谷物吃光,而把它当作种子材料“消费”[42]。]
由此可见,当年消费的不变资本怎样在下一年再现出来,这个问题并不是秘密。但是据说,这样一来,从作为生产基础的现有生产资料以及不变资本倒退的运动无疑也在全力进行。不仅会退到西尼耳的“野蛮人”,甚至还会退到托伦斯的“野蛮人”,自然界向他提供石头和棍棒,总之,向他提供生产资料[41]。然而,如果我们谈的是作为不变资本的生产资料,那我们就已经是以资本主义生产和使现有生产资料转化为资本的那些过程为前提了。
  如果我们现在考察在C400(Ⅰ)和(V200+M200)(Ⅱ)进行交换之后公式是什么样的,那我们会在Ⅰ(生活资料)的序列中看到V100(Ⅰ)+V200(Ⅱ)=V300以及M100(Ⅰ)+M200(Ⅱ)=M300;即V300+M300=600镑。在Ⅱ(生产资料)的序列中看到C800(Ⅱ)+C400(Ⅰ)=C1200=1200镑。VⅠ就象VⅡ等等一样,这只不过是全部社会产品中表现为与产品价值部分的名称相同的那些部分。由此我们得出:
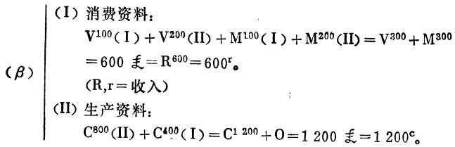
(γ) (Ⅰ)消费资料:V300+M300
(Ⅱ)生产资料:C1200
  如果这样来列出这个公式:让资本的彼此相联系的各部分——产品价值的各组成部分,它们等于预付社会资本的各个价值组成部分——变得一目了然,那么就会得出:

(Ⅰ)消费资料:V300 +M300
(Ⅱ)生产资料:C1200
  公式:C1200+V300+M300,或1200c+这就和我们分解一个1500镑的单个资本的产品价值时得出的公式完全相同,这个单个资本把1200花在生产资料上,300花在劳动力上,价值增殖率为100%。已消费的生产资料的价值,即资本的不变部分,只是作为产品的价值要素出现,只是依照这些生产资料作为活劳动的客观因素实际执行职能的程度,从而转化为新产品的程度转移到产品上。活劳动作为有用的、具体的劳动——作为特殊的劳动种类、劳动方式——把生产资料转化为产品,从而把生产资料的价值转移到产品上,使这个价值有可能以产品价值要素的身份出现,与此同时,活劳动在其整个活动过程中,创造新价值,把等于v+m的新价值产品加到再现的不变价值(或已消费的生产资料价值)上。
  因此,每一个新产品的全部价值都等于再现的生产资料价值,或不变价值部分,加上在产品的生产过程本身中加到整个产品上的价值。
  实际上在Ⅱ(生产资料)的已消费的生产资料价值800中,包含着4/3或1+(1/3)社会工作日。(如果整个社会工作日表现为600镑,那么800镑就等于1+(1/3)或4/3社会工作日。)
  这些已消费的生产资料的价值表现,作为产品中等于800c或C800的那个价值部分再现出来。把这些生产资料转化为新产品(实际是转化为新生产资料)的活劳动,包含的劳动时间等于2/3社会工作日。因此,它把400镑新价值产品加到生产资料价值C800上,这400镑新价值产品又分为V200(或200V)和M200(或200M)。这种划分(新加价值400分为V200和M200)绝对不会使这个价值的量发生任何变化,相反,这个价值的量决定V+M的价值总额的量。因此,Ⅱ(生产资料)的产品的总价值是4/3+2/3工作日=6/3=2工作日=1200的价值表现,在这个总价值中,不变价值800镑是4/3社会工作日的价值表现,这4/3工作日在Ⅱ的这个产品开始生产之前已经过去了,而400镑=V200+M200则是2/3[社会工作日]在生产它们时添加的活劳动上的表现。
  另一方面,在Ⅰ(消费资料)中,已消费的生产资料价值,或再现的产品价值的不变部分,等于400c(C400),即等于2/3社会工作日的价值表现。把这些生产资料转化为消费资料的活劳动,就时间来说,等于1/3社会工作日,就是说,它加到不变价值部分上的新价值是200镑,由V100和M100组成。Ⅰ的产品的总价值600镑(消费资料)是一个社会工作日的价值表现;其中2/3=400是生活资料的本生产过程开始之前已耗费的2/3劳动的价值表现,而1/3=200镑是这些生活资料的生产过程中耗费的劳动的价值表现。

  现在我们来研究总产品和产品的价值:
  
  [150]就[注:本章从这里往下到第166页止由恩格斯收入《资本论》第2卷正文(《马克思恩格斯全集》中文版第24卷第478—484页)。——编者注]产品价值1800镑和它分成的各个类别来说,对它们的分析决不会比对一个单个资本产品价值的分析遇到的困难更多。不如说困难完全是一样的。
  全部社会年产品包含三个以一年为期的社会工作日。每一个这种工作日的价值表现都=600镑;因此,总产品的价值表现=1800镑。
  其次,在一年的生产过程(我们分析的就是这个过程)开始以前已经结束的劳动时间由全部已耗费的劳动时间组成:在Ⅱ中,有4/3工作日(800镑),在Ⅰ中,有2/3工作日(400)。总计是6/3工作日=2工作日,即1200镑。因此,C1200是在全部社会产品价值中再现的生产资料的价值或不变价值。
  再次,在Ⅱ中新追加的社会年工作日的1/3,是必要劳动,或者说,是这样一种劳动,它补偿可变资本的价值,或支付Ⅱ使用的劳动的价格。它的价值表现=200镑。同样,Ⅰ的1/6工作日,或这里使用的1/3社会工作日的一半,是必要劳动,表现为100。所以,总共300镑(200镑+100镑),是由必要劳动构成的半个工作日的价值表现。(1/3+1/6=2/6+1/6=3/6=1/2。)因此,V300是由必要劳动构成的半个追加工作日的价值表现。
  最后,Ⅱ的工作日的1/3=200镑新创造的价值,是剩余劳动;Ⅰ的工作日的1/6(100)是剩余劳动;总计社会工作日的1/3+1/6,或1/2,由剩余劳动构成。因而,社会所生产的剩余价值=300镑。
  因此,社会产品价值的不变部分等于所考察的生产过程开始以前耗费的两个工作日;价值表现:

  C1200=1200镑

  当年耗费的必要劳动等于年生产所耗费的工作日的1/2;价值表现:

  V300=300镑

  当年耗费的剩余劳动等于年生产所耗费的工作日的1/2;价值表现:

  M300=300镑

  因而,产品的总价值=C1200+V300+M300=1800镑
  所以,困难不在于社会产品总价值或产品的社会价值的分析。困难是在把社会产品的价值组成部分和社会产品的组成部分本身作比较时产生的。不变价值部分等于由生产资料构成的那部分社会产品的价值,并在这部分产品中体现出来。
  当年新创造的价值即V+M,等于由生活资料构成的那部分社会产品的价值,并在这部分产品中体现出来。
  但是,除了一些在这里没有意义的例外,生产资料和生活资料是完全不同的两类商品,是具有完全不同的实物形式或使用形式的产品,从而也是完全不同种类的具体劳动的产品。使用机器生产生活资料的劳动,是和制造机器的劳动完全不同的。年工作日(其价值表现=600镑)似乎全部耗费在生活资料=600镑的生产上,其中没有任何不变的价值部分再现出来,因为这600镑=V300+M300,只分解为可变资本价值+剩余价值。另一方面,不变资本价值=1200则以一种和生活资料完全不同的产品形式,以生产资料形式再现出来;社会工作日似乎没有任何部分耗费在这些新产品的生产上,因为这整个工作日似乎只是由以消费资料而不是以生产资料作为结果的劳动方式构成。秘密已经揭穿。年劳动的价值产品,等于Ⅰ的产品价值,等于新生产的生活资料的总价值。但是,这个产品价值,比耗费在生活资料生产(Ⅰ)上的那部分年劳动大2/3。年劳动只有1/3耗费在生活资料的生产上。这个年劳动的2/3耗费在生产资料的生产上。Ⅱ在这期间生产的追加价值产品,等于Ⅱ所生产的可变资本价值加上剩余价值,等于Ⅰ生产的以生活资料形式再现的Ⅰ的不变资本价值。因此,再现了Ⅰ的不变资本价值的那个生活资料量,构成一定量生产资料的等价物,这个生产资料量体现Ⅱ的年劳动追加的可变资本价值+剩余价值。所以,它们可以互相交换和互相用实物补偿。因而,Ⅰ生产的生活资料的总价值,等于Ⅰ和Ⅱ新生产的价值总额,即等于Ⅱ中2/3年劳动和Ⅰ中1/3年劳动生产的新价值,所以等于社会年劳动生产的V+M之和。
  另一方面,生产资料(Ⅱ)的总价值,等于以生产资料(Ⅱ)形式再现的不变资本价值同以生活资料(Ⅰ)形式再现的不变资本价值之和,所以,等于在社会总产品中再现的不变资本价值之和。换句话说,这个总价值,等于生产过程开始以前Ⅱ花费的4/3过去的工作日和当年的生产过程开始以前Ⅰ花费2/3的过去的工作日的价值表现,或者说,等于2工作日的价值表现。
  因此,在分析全部社会年产品时出现的困难在于:加到不变价值部分中去的新价值V+M是以生活资料形式来表现的,而这个不变价值部分却以一种完全不同的产品——生产资料——来表现。因此,就价值方面来考察,就出现了一种假象,好象所消费的产品量的2/3,会以新的形式,作为新的产品重新出现,而不需要有任何社会劳动耗费在它们的生产上。
  就单个资本来说,这种情况是不会发生的。每个单个资本家都使用一定种类的具体劳动,这种劳动把它特有的生产资料转化为具有一定实物形式的产品。例如,某个资本家是机器制造业主,他在当年耗费的不变资本=1200c,可变资本=300v,剩余价值=300m,产品=1800;比如说,这个产品是18台机器,每台的价值等于100镑。在这里,全部产品是由相同的形式,由机器构成。(如果机器制造业主生产多种机器,那么每一种机器都要单独计算。)全部商品产品,是当年在机器制造上耗费的劳动的产物,是同一种具体劳动和同一些生产资料相结合的产物。因此,产品价值的不同部分以相同的实物形式表现为同种劳动的产品;12台机器包含1200c,3台机器包含300v,3台机器包含300m。这里很明显,12台机器的价值=1200c,并不是因为这12台机器只体现那种在机器制造开始以前已经耗费掉的劳动,而不体现当年在机器制造中耗费的劳动。为生产18台机器所使用的生产资料的价值,不会自行转化为12台机器的价值;但是,这12台机器的价值(它本身由800c+200v+200m构成),等于18台机器包含的不变资本的总价值等等。因此,机器制造业主必须从18台机器中出售12台,以便补偿已经耗费的不变资本,这些资本是他再生产18台新机器所必需的等等。相反地,虽然所使用的劳动只是用来制造机器,但劳动的结果却说成是:6台机器=300v+300m和总额为1200c的铁、铜、木材、皮带、钉子等等,即机器的实物形式的生产资料,如果这样说,问题就说不清楚了。相反,对后面这些东西,单个资本家要通过流通过程来进行补偿。
  [151]单个资本的产品,即独立执行职能、赋有自己生命的任何一个部分或份额,可以有任何一种实物形式。唯一的条件是,这个产品必须实际具有一种使用形式,一种使用价值,使它成为商品世界可以流通的一个部分。它是否作为生产资料——劳动资料或生产材料——再进入把它作为产品生产出来的那个生产过程,也就是说,它的产品中代表不变资本部分的那部分价值,是否具有那种使它可以实际再作为不变资本执行职能的实物形式,这是一件毫无关系的偶然的事情。如果不是这样,产品的这部分价值就会通过产品的流通,从产品形式再转化为它的物质生产要素的形式,不变资本就由此以它的能够执行职能的实物形式再生产出来。
  社会总资本的产品却不是这样。再生产的一切物质要素,都必须以它们的实物形式形成这个产品本身的各个部分。已经消耗的不变资本部分,只有当全部在年产品中再现的不变资本部分,在能够实际作为不变资本执行职能的新生产资料的实物形式中再现的时候,才能由总生产来进行补偿和再生产出来。因此,在简单再生产的前提下,由生产资料构成的那部分产品的价值,必须等于社会资本的不变价值部分。
  其次,个别地考察,资本家通过新追加的劳动,只是生产他的产品总价值中的可变资本加上剩余价值,而不变价值部分是由于新追加劳动的具体性质转移到产品中去的。
  从整个社会的角度来考察,生产生产资料的社会工作日部分,也就是说,既把新价值加到生产资料中去,又把在它们的生产上所消费的生产资料的价值转移到生产资料中去的社会工作日部分,不外是生产新的不变资本,用来补偿以旧生产资料形式损耗的不变资本——一部分第Ⅰ类别的资本家,一部分第Ⅱ类别的资本家所损耗的、生产地消费的不变资本。社会工作日的这一部分只生产用于生产消费的产品。所以,这个产品的全部价值是这样的价值,这种价值只能够重新作为不变资本执行职能,只能够买回实物形式的不变资本,因而,从社会的角度来考察,它既不分解为可变资本,也不分解为剩余价值。
  另一方面,生产消费资料的社会工作日部分,不生产补偿社会的不变资本的任何部分。它只生产这样的产品,这些产品按其实物形式来说,要用来实现Ⅰ和Ⅱ的可变资本价值和剩余价值。
  当我们讲到社会的考察方法,也就是考察既包括社会资本的再生产也包括个人消费的社会总产品的时候,绝不可陷入蒲鲁东从资产阶级政治经济学那里抄袭来的方法,而把问题看成是,好象一个具有资本主义生产方式的社会,只要作为一个整体来考察,便会失掉它这种独特的历史的经济的性质。应用社会考察方法,就要研究总体资本家,社会总资本表现为所有单个资本家的股份资本的总和。这个股份公司和其他许多股份公司有一个共同点:每个人都知道自己投入什么,但是不知道自己取出什么。
  也许在Ⅱ的产品方面,即在等于C800(Ⅱ)+C400(Ⅰ)的生产资料方面,会重复总公式中出现的同一个困难。的确,许多同一实物形式的生产资料充当CⅠ,即既充当生活资料的生产资料,也充当这些生产资料的生产资料。例如,谷物作为谷种充当谷物的生产资料,同样它也可以充当面粉和面包即生活资料的生产资料。因此,如果再生产谷物,那么提供谷物的同一劳动,既提供该资本的不变部分,即生产谷物的谷物,又提供作为生活资料的生产资料的谷物。产品以其实物形式,既补偿生产生活资料时消费的生产资料——谷物,也补偿生产这种生产资料时消费的谷物。产品一部分补偿C800(Ⅱ),一部分补偿C400(Ⅰ)。然而,对于参加谷物——这种生活资料的生产资料——生产的其他生产资料来说,就不会发生这种情况。生产谷物的劳动,并不生产参与生产这种生产资料的建筑物、农具、役畜、矿肥等等。因此,价值中,即生产这些生产资料时消费的生产资料价值中,以谷物形式再现的不变部分(C800(Ⅱ)的一部分),不以它能够再充当该生产资料的生产资料形式出现,但是它可以充当生活资料——面包、酒等等——的生产资料。
  现在产品总价值表现如下:
    
  这里假设,V200+M200同C400(Ⅰ)进行交换,也就是说,处在这个部分对Ⅰ的生产资料或不变资本进行补偿的实物形式中。相反,C800表现为Ⅱ的产品中仅仅再现了不变资本价值的那个部分。但是,生产V200+M200时消费的劳动,即生产Ⅰ的消费资料的生产资料的劳动,同生产这些生产资料的生产资料的劳动有一些不同。也就是说,C800并不是全部处在它能够重新作为Ⅱ的不变资本执行职能的形式中。
  但是这个困难只是表面现象。例如,我们假设,生产Ⅰ的生产资料的生产资料所用的全部劳动,是社会工作日的1/3,而在这个工作日中使用的生产资料的不变价值等于C600。再假设,生产Ⅰ的生产资料的社会劳动,是社会工作日的1/3,生产这些生产资料所使用的生产资料的价值等于C200
  那么我们就得出:
  (a)生产资料的生产资料=800镑=C600+V100+M100
  (b)消费资料的生产资料=400镑=C200+V100+M100
  象原先一样,(b)的产品同C400(Ⅰ)相交换。但是Ⅱb类的资本家必须从(Ⅱ)类来补偿自己的不变资本C200,因而他们要用从Ⅰ得到的生活资料的一半去交换V100+M100(a)。在过程终了时,生产生产资料的Ⅱ类手中就会有C600,即(Ⅱa)的不变资本的实物形式,和C200(同V100a+M100a交换的),即(Ⅱb)的不变资本的实物形式。
  象原先一样,C800在Ⅱ的资本家手中,C400在Ⅰ的资本家手中,也就是说,象原先一样,C1200在总资本家的手中。这只是对货币流通形式的影响,我们这里还不考察它。
  [152]同一种产品既充当消费资料又充当生产资料,这种情况同样没有意义。例如,煤用于住宅取暖,是充当消费资料,用于发动机器,是充当辅助材料,用于制造染料,是充当生产资料(生产材料)。只要它用于一种职能,它就不用于其他职能;在一种职能中它属于Ⅰ,在其他职能中它就属于Ⅱ。如果煤的生产者用自己的产品来满足自己对煤的个人需要,那么他的情况就和消费自己的一部分产品的任何资本家的情况一样。这一部分不进入社会流通,因此无须通过流通对这一部分进行补偿。
  产品,例如面粉和麻布,是作为消费资料直接进入消费基金,还是作为生产资料进入面包或漂白布的生产,这种情况同样没有意义。在前一种情况下,它属于Ⅰ,在后一种情况下,它属于Ⅱ。总计算仍然是一样的。如果产品以后不作为生产资料进入生产过程,而是直接进入消费基金,那就不需要把它当作生产资料进行补偿。如果它作为生产资料进入生产过程,那就必须把它当作生产资料进行补偿。
  最后,可能会产生一个问题,例如C1200中棉花所占份额的情况实际上怎么样呢?实际上这个量要在下一年得到补偿,然而它同谷物的情况完全一样,是当年的产品。但是后来这个棉花变成纱,然后变成布,然后变成印花布,然后变成裁缝的生产材料,最后变成服装成品。我们知道,这种服装的价值=棉花的价值+纺纱追加的价值+织布追加的价值+布在染色或印花时追加的价值+缝纫追加的价值。这个价值形成Ⅰ的消费资料价值的一部分,可能只等于V300+M300中社会把它变成服装的那一部分。这已经是不言自明的。的确,社会生产资料中,即社会的不变资本中,有一部分现在同时处在棉花、纱、布、印花布等等形式中,以便不断转化成服装。加入服装生产的所有这些不变资本的实物形式,必须不断地同时并存。然而在下一年开始时,要在全年得到保存的棉花,大部分处在棉花形式中,只有小部分(也就是说,根本不会是总额C400)处在其他实物形式中。但是这个问题最好在本章第2节[43]考察。
  现在让我们回到最后一个公式。

  在这里,在简单再生产的前提下,V300+M300=600镑,预定要以消费资料形式实现,并且以这种形式在当年消费。这就是说,600镑价值使同样价值的消费资料离开社会生产转为消费基金。因此,V300由工人阶级花费,M300由资本家阶级作为收入花费。因此,它们实际上构成不同于社会资本的社会收入。它们构成产品的社会价值中进行个人消费的部分,这个部分不同于进行生产消费的,即必须重新进入生产基金和劳动过程的那个部分。考虑到这种情况,我们用字母R表示收入,于是得出:
1800镑。产品价值 1200 +V300+M300
    全部产品 生产资料 消费资料
  收入600只能从社会总产品中抽出消费资料;这里的价值是1800镑——产品的全部价值。相反,1200镑必须转化为不变资本的实物形式,即转化为资本,并且大部分以只能作为不变资本执行职能的实物形式存在。
  {社会产品的总价值=1800镑。其中社会收入的价值只有1/3=600镑,全体消费者(工人+资本家)能够具有和并入他们的消费基金的,只是社会总产品中具有这三分之一价值额的商品,产品。[注:本章从这里往下到第172页止由恩格斯收入《资本论》第2卷正文(《马克思恩格斯全集》中文版第24卷第484—486页)。——编者注]相反,1200镑=2/3产品价值,却是必须用实物来补偿的不变资本的价值。因此,这个数额的生产资料必须再并入生产基金。施托尔希已经看到了这一点的必要性,但是不能够证明它:
  “很明显,年产品的价值分成资本和利润两部分。年产品价值的这两部分中,每一部分都要有规则地用来购买国民所需要的产品,以便维持该国的资本和更新它的消费基金……构成一个国家的资本的产品,是不能消费的。”[注:亨·施托尔希《论国民收入的性质》1824年巴黎版第134、135、150页。——编者注]
  但是,亚·斯密在提出这种直到现在还有人信以为真的荒谬教条时,不仅采用了前面已经说过的形式,似乎全部社会产品的价值分解为收入,分解为工资加剩余价值,或者按他的说法,分解为工资加利润(利息)加地租,而且还采用了一种更通俗的形式:消费者“最终地”必须把全部产品价值支付给生产者。直到现在,这还是政治经济学这门所谓科学的一种最牢固的公认的常识,甚至是一个永恒真理。这个教条是按照下面这样一个似乎言之有理的方式说明的。随便举一种商品为例,如亚麻衬衫。首先,亚麻纺纱业主必须向亚麻种植业主支付亚麻的全部价值:亚麻籽、肥料、役畜等等的价值,加上由亚麻种植业主的固定资本(如建筑物、农具等等)转移到产品中去的那部分价值,加上在亚麻生产上支付的工资,再加上亚麻所包含的剩余价值(利润、地租),最后还加上亚麻由产地运往纺纱厂的运输费用。然后,织布业主不仅要把亚麻的这个价格偿还亚麻纺纱业主,而且要把由机器、建筑物等等,总之,由固定资本转移到亚麻中去的那部分价值,以及在纺纱过程中消费的一切辅助材料、纺纱工人的工资、剩余价值等等,偿还给亚麻纺纱业主;漂白业主也是这样,他还要加上织成的麻布的运费;最后,衬衫厂主,要把全部价格支付给只向他提供原料的所有以前的生产者。而在衬衫厂主那里,又追加价值:一部分是在衬衫缝制过程中以劳动资料、辅助材料等形式消费的不变资本的价值,一部分是其中耗费的劳动加进的衬衫缝制工的工资的价值和衬衫厂主的剩余价值。现在,假定这全部最终产品,衬衫,值100镑,并且假定这是社会在全部年价值产品中在衬衫上耗费的部分。衬衫的消费者支付这100镑,也就是支付衬衫中包含的一切生产资料的价值和亚麻种植业主、纺纱业主、织布业主、漂白业主、运输业主、衬衫厂主的工资和剩余价值。这是完全正确的。实际上这是每个儿童都懂得的道理。但是往下又说:一切其他商品的价值都是如此。应当说:进入消费基金的一切商品的价值都是如此,由消费资料组成的那部分社会产品的价值,也就是可以作为收入花费的那部分社会产品的价值,都是如此。[153]所有这些商品的价值额,确实等于在商品中消费的全部生产资料(不变资本部分)的价值加上最后追加的劳动所创造的价值(赋予产品最终形式的工人和资本家的工资和剩余价值)。全体消费者能够支付这个价值额的全部,因为尽管每个单个商品的价值是由 构成的,但是,一切进入消费基金的商品的价值总额,最大限度也只能等于分解为v+m的那部分社会产品价值,也就是等于由当年耗费的劳动加到生产资料——不变资本价值——中去的价值。但是,说到不变资本价值,那么,我们看到,它是按照两种方式由社会产品量来补偿的;一部分是通过生产消费资料的Ⅰ的资本家和生产这些生活资料的生产资料的Ⅱ的资本家之间的交换。由此就产生了一种说法,似乎对一个人是资本的东西,对另一个人就是收入[44]。但是,事情并不是这样。以价值400镑的消费资料形式存在的C400(Ⅰ),对第Ⅰ类的资本家来说,形成不变资本价值。虽然产品的实物形式适于消费,但是,第Ⅰ类的资本家不能消费它。另一方面,R400(V400+M200)=400镑是第Ⅱ类的资本家和工人所生产的工资和剩余价值。它们以生产资料的实物形式,以本身的价值不能在其中得到消费的物品的形式存在。因此,在这里,我们有一个800镑的价值额,其中能消费的只有400,而在交换之后和在交换之前一样,其中的一半只补偿不变资本,另一半只形成收入。至于第Ⅱ类资本家的不变资本,一部分是通过Ⅱ的资本家的不同生产资料(不变资本在其中得到再生产)之间的交换用实物来补偿,一部分是用自己的产品以实物补偿自己的生产资料;例如,农民把自己收获量的一部分用于播种,煤的生产者把每天生产的一部分煤再用于煤的生产等等。资本家用自己的产品或通过他们自己生产的生产资料同其他资本家生产的生产资料之间的交换,以实物进行补偿的这种不变资本,自然不需要由其他任何人对它进行补偿。双重的补偿是不会发生的。
  关于全部年产品价值最终必须由消费者支付的说法[45],只有把消费者理解为两种完全不同的消费者即个人消费者和生产消费者,把消费理解为两种完全不同的消费即个人消费和生产消费,才是正确的。但是,说产品的一部分必须生产地消费,那无非是说,这一部分必须作为资本来执行职能,不能作为收入来消费。
  前面我们已经考察过公式:
  (Ⅰ)消费资料:V300+M300=600镑。
  (Ⅱ)生产资料:C1200=1200镑。
  表面看来,亚·斯密把全部资本分解为可变资本,把全部产品价值分解为收入的做法是对的。
  首先,在第一个序列中,V300+M300=600镑实际上是等于一年中使用的社会劳动的价值产品的价值。这两个价值彼此相符,虽然Ⅰ的这个产品价值决不是年工作日的价值产品,它在Ⅰ中只占年工作日的价值产品的1/3,在Ⅱ中占2/3。但是表面现象并不能使人有理由认为,既然Ⅰ的产品价值=600镑,由200镑价值产品(1/3工作日)加400镑不变价值部分(等于2/3在生活资料的生产开始之前就结束了的劳动时间)组成,既然这个价值等于Ⅰ和Ⅱ使用的活劳动的价值产品,因而等于整个社会工作日的价值产品,那么这个产品价值实际上也是以全部年劳动为前提,即以Ⅰ使用的劳动的价值产品为前提。首先很清楚,Ⅰ的产品可以全部分解为收入,因为V300分解为300镑工人工资(收入),M300分解为300镑资本家收入。第二,C1200应该是一个单纯的表面现象,从社会角度看应该变为零,因为全部年产品不管以什么样的实物形式存在,都是年劳动的产品,但这全部年劳动,按照前提(由于概念的混淆),都是Ⅰ耗费的。因此,剩下的只是V300+M300。既然M300等于剩余价值,那么作为资本留下的就只有V300,即可变资本,这一点亚·斯密和约·斯·穆勒是说得非常明确的:全部资本直接地或最终都归结为工资。
  相反,如果我们考察最后一个公式

1800镑。产品价值 1200 +R600
    全部产品 生产资料 生活资料
[注:本章从这里往下到第174页止由恩格斯收入《资本论》第2卷正文(《马克思恩格斯全集》中文版第24卷第486—487页)。——编者注]相反就会觉得似乎可变资本消失了,从社会的角度来考察,似乎资本只是由不变资本构成的了。这是因为,原来表现为V300的东西,现在已经分解为社会收入的一部分,分解为工资即工人阶级的收入。这个部分的资本性质因此也就消失了。实际上,拉姆赛曾经得出这个结论。在他看来,资本,从社会的角度来考察,只由固定资本构成,但是,他所说的固定资本是指不变资本,是指一个由生产资料构成的价值量,而不论这些生产资料是劳动资料,还是生产材料如原料、半成品、辅助材料等等。
  他把可变资本叫做流动资本:
  “流动资本只由在工人完成他们的劳动产品以前已经预付给工人的生活资料和其他必需品构成……严格地说,只有固定资本,而不是流动资本,才是国民财富的源泉……流动资本不是在生产上直接起作用的,对于生产也毫无重要意义,它只是由于人民群众可悲的贫困而成为必要的一个条件……从国民的观点来看,只有固定资本才是生产费用的要素。”(拉姆赛,同上,散见第23—26页)
  拉姆赛还对固定资本(他是指不变资本)进一步说明如下:
  “这种劳动〈即“生产任何一种商品所使用的劳动”〉的产品的任何一部分作为固定资本存在的持续时间,也就是以一种虽然有助于未来商品的生产,但不能维持工人生活的形式存在的持续时间……”(同上,第59页)
  在这里,我们首先看见了亚·斯密种下的祸根。在他那里,不变资本和可变资本的区别淹没在固定资本和流动资本的区别中了。不变资本由劳动资料构成,可变资本由生活资料构成;二者都是有一定价值的商品;它们都不能生产任何剩余价值。
  [154]当谈到资本家一部分以不变资本的形式(即他购买生产资料),一部分以可变资本的形式(即他购买劳动力)预付某一价值额时,从一开始就应该理解为同样意义的对两部分资本的价值预付。预付一词在这里不过表示某一价值额的所有者花费价值的一种特殊方式。他把价值当作资本价值来花费,也就是说,把它当作必须作为他的剩余价值的经常源泉执行职能的价值来花费。他花费价值不是为了把它实现在消费资料中和加到自己的消费基金上。相反,如果注意到资本家在预付资本时与之进行交易的那些人,那就应该说,在这里资本家什么也没有预付。织布业主向纺纱业主购买纱,向机器制造业主购买织机,等等。总之,他购买生产资料,他所拥有的一部分价值额必须以这些生产资料的实物形式作为不变资本执行职能。同样,他向工人购买对工人劳动力的使用。这里发生的是等价物同等价物的交换,因而这里没有发生任何预付。资本家向工人支付货币,并且在这个交易中换得的不是成品而是生产要素,如果说这种情况把对劳动力的这种支付变成为预付,那么织布业主在向纺纱业主支付纱的费用时也对他进行了预付,因为纱对他这个织布业主来说只是未来生产的要素。织布业主在出售自己的产品时也得到预付。总之,买者进行预付,因为他支付货币,卖者得到预付,因为他付出的只是商品。至于买者把他从商品所有者那里买到的商品用于什么需要,——是用于自己个人消费还是用于生产消费,——这同商品所有者完全无关。如果这里能够谈得上预付的话,那么可以说工人预付了自己的劳动,因为劳动是在发挥作用之后才被支付的。就象机器制造业主对纺纱业主进行预付一样,他在一定时期把机器提供给纺纱业主,只是在这个时期过去之后才得到支付。其次,织布业主支付给纺纱业主的价值,属于织布业主而不属于纺纱业主。相反,织布业主支付给工人的价值只不过是工人自己的一部分价值产品的货币形式,而资本——如果考察再生产过程中的资本的话——是这种工资的货币形式,只不过是工人自己的转化为金的价值产品的某一部分。支付给工人的不仅是工人自己的一部分价值产品,而且问题还在于,支付给工人的货币本身就是工人自己的一部分价值产品的货币形式。如果按照惯用的庸俗经济学的方法,把资本家看成是对工人的未完成的产品或未售出的产品进行贴现的银行家,那么我们假设工人——例如织布工——一周劳动的产品等于100v+100m=200镑。资本家用100镑对工人的这个价值进行贴现,也就是说,贴现率为50%,因此,资本家按每周100%使用自己的货币。但是他本人在银行家那里是按每年50%进行贴现的。因而,如果每年按50周计算,他支付2先令。作为工人和银行家的中间人,他由于向银行家支付2先令而从工人那里又得到49镑18先令。可见这个办法帮不了庸俗政治经济学的忙,更不用说单纯的贴现率完全不能说明可以使工资和剩余价值得到实现的那些产品的存在。
  这里我们考察再生产过程,一开始就把货币流通撇开了,因而考察可变资本的预付也撇开了货币资本的干扰。总财富作为财产掌握在整个资本家阶级手中(在这里我们应该把这个阶级看作一个股份公司)。一部分以生产资本的形式处在这个阶级的生产基金中;另一部分作为它的商品资本处在市场上(这里应该把市场看作公共集市,所有单个资本家都把自己的商品留在这里)。因此,他们对自己的工人只能以消费资料的形式预付——按照我们的假设,货币流通被抽象掉了——资本的可变部分。他们从该商品资本中拿出价值300镑的消费资料来购买300镑的劳动力。这个劳动力现在构成他们的生产资本的一个部分,加入他们的生产过程,并且作为发挥作用的劳动力构成生产过程中可变资本的实际的、物质的存在。在产品中,在商品资本中,预付的劳动力价值被再生产出来,剩余价值也[包含在其中]。作为资本流通来考察的资本流通就是这样。但是在这里,我们不仅涉及到——因为谈的是总产品的再生产——资本流通,而且还涉及到商品产品中加入资本家或工人的个人消费的要素。

V作为生产资本的一个部分


  300v是可变资本,或生产过程中的劳动力,则是表现资本流通的形式。
  当资本家用这300镑v同活劳动力进行交换之后,工人便把他用自己的劳动力换得的价值300镑的生活资料当作收入进行消费。这300镑进入工人的个人消费基金。它们所以是收入,因为它们是工人不断重复出卖自己劳动力的周期果实。在等于劳动力价值的可变资本价值直接以生活资料形式进行预付这样的前提下,已经包含着这样的情况,即可变资本,例如300镑,只是在300镑实际转化为生产资本的可变组成部分之后,也就是说,在资本家用这300镑生活资料购买了活劳动力之后,才是工人的收入;因而,同时也是以下面这种情祝为前提的,即资本家这样预付的300镑价值作为价值部分再现在劳动过程的产品中,也就是说,

  由于工人的劳动,他的资本的可变部分从生产过程返回他手中。1200c+镑不仅包括1200c,而且包括作为可变资本被再生产的或处在再生产过程中的300镑v。
  要看到总的再生产的面貌,只有一个再生产出来的商品资本是不够的。还必须考虑到(1)以其原有的实物形式继续存在并且能够执行职能的那部分固定资本。这部分生产资料既不作为产品也不作为价值在当年生产出来。但是它们由于在该年被使用,也就是说,由于作为活劳动的物的要素执行职能,而保存了适于执行职能的状态。在这个意义上,它们也属于劳动的年产品。
  (2)应该列入资本的商品产品的还有,第一、资本家本身,第二、一种也构成商品市场的一部分但不属于资本家所有的特殊商品,这种商品不是资本家投入市场的商品产品部分,而由它的所有者工人出卖,这种商品就是劳动力。
  由于资本家是通过消费剩余价值来维持自身的存在和再生产自身,所以资本家阶级就不仅仅是在它的个人的要素中再生产出来。剩余价值同总收入的关系同时表明,资本家是作为上层社会被再生产出来的。其次,资本家所以作为资本家阶级被再生产出来,是因为社会的生产资料作为他们的不变资本被再生产出来,而劳动力不断地形成他们的生产资本的可变组成部分。
  工人阶级由于一部分产品—必要生活资料—转化为劳动力而被维持和再生产出来。工人所以同时作为雇佣工人被再生产出来,是因为物质财富和实现他们的劳动的资料这整个世界,都作为资本,作为他人的财产同他们相对立,生产资料作为不变资本同他们相对立,生活资料作为商品资本的一部分同他们相对立;这些生活资料一部分由资本家阶级消费,另一部分则由于工人不得不重新出卖自己的劳动力给资本家阶级,由于工人的活劳动力转化为社会的生产一资本的组成部分,而由工人重新购买。