Karel Marx
Kapitál, II. díl

Kapitola šestnáctá

Obrat variabilního kapitálu

I. Roční míra nadhodnoty

Předpokládejme oběžný kapitál 2500 liber št., a to takový, že jeho 4/5 = 2000 liber št. tvoří konstantní kapitál (výrobní materiály) a 1/5 = 500 liber št. variabilní kapitál, vydávaný na mzdu.

Období obratu nechť se rovná 5 týdnům; pracovní období = 4 týdnům, období oběhu = 1 týdnu. Pak se kapitál I = 2000 liber št. bude skládat z 1600 liber št. konstantního kapitálu a 400 liber št. variabilního kapitálu; kapitál II = 500 librám št.; z toho je 400 liber št. konstantní a 100 liber št. variabilní kapitál. V každém pracovním týdnu se vydává kapitál 500 liber št. Za rok, který má 50 týdnů, se vyrobí roční výrobek 500 x 50 = 25.000 liber št. Kapitál I ve výši 2000 liber št., zaměstnaný stále v pracovním období, obrátí se tedy 121/2krát. 2000 x 121/2 = 25.000 liber št. Z těchto 25.000 liber št. jsou 4/5 = 20.000 liber št. konstantní kapitál, vydaný na výrobní prostředky, a1/5 = 5000 liber št. variabilní kapitál, vydaný na mzdu. Naproti tomu se celý kapitál 2500 liber št. Obrátí 25000/2500 = l0krát.

Variabilní oběžný kapitál vydaný během výroby může znovu sloužit v procesu oběhu jen potud, pokud se podaří prodat výrobek, v němž je reprodukována jeho hodnota, pokud se tento výrobek přemění ze zbožního kapitálu v peněžní kapitál, který musí být znovu vynaložen na placení pracovní síly. Ale právě tak je tomu i s konstantním oběžným kapitálem vynaloženým na výrobu (s výrobními materiály), jehož hodnota se znovu objevuje ve výrobku jako část jeho hodnoty. To, co je oběma těmto částem — variabilní a konstantní části oběžného kapitálu — společné a co je odlišuje od fixního kapitálu, není to, že jejich hodnota, přenesená na výrobek, obíhá prostřednictvím zbožního kapitálu, t. j. tím, že výrobek obíhá jako zboží. Část hodnoty výrobku, a to výrobku obíhajícího jako zboží, část zbožního kapitálu, pozůstává vždy z opotřebování fixního kapitálu, t. j. z části hodnoty fixního kapitálu, kterou tento kapitál za výroby přenesl na výrobek. Ale rozdíl je v tomto: fixní kapitál funguje nadále ve výrobním procesu ve své staré užitné formě po delší či kratší cyklus období obratu oběžného kapitálu (= oběžnému konstantnímu + oběžnému variabilnímu kapitálu); kdežto každý jednotlivý obrat je podmiňován nahrazením celého oběžného kapitálu, který přešel — jako zbožní kapitál — ze sféry výroby do sféry oběhu. První fázi oběhu, Z‘ — P‘, mají oběžný konstantní a oběžný variabilní kapitál společnou. V druhé fázi se oddělují. Peníze, v něž se zboží přeměnilo, přeměňují se zčásti ve výrobní zásobu (oběžný konstantní kapitál). Podle různých nákupních lhůt součástí takové zásoby může se jedna část peněz přeměnit ve výrobní materiály dříve, jiná později, ale nakonec jdou všechny tyto peníze na výrobní materiály. Ostatní část peněz získaných prodejem zboží leží jako peněžní zásoba a postupně se vydává na placení pracovní síly včleněné do výrobního procesu. Tvoří oběžný variabilní kapitál. Nicméně dochází při obratu kapitálu, při jeho přeměně ve výrobek, z výrobku ve zboží a ze zboží v peníze po každé k úplnému nahrazení té nebo oné části. Právě proto jsme v předcházející kapitole zkoumali obrat oběžného kapitálu — konstantního i variabilního — odděleně i společně, aniž jsme si všímali fixního kapitálu.

V otázce, kterou máme nyní probírat, musíme učinit ještě krok vpřed a zkoumat variabilní část oběžného kapitálu tak, jako by jedině ona tvořila celý oběžný kapitál, t. j. nebudeme si všímat konstantního oběžného kapitálu, který se obrací společně s ní.

Je zálohováno 2500 liber št. a hodnota ročního produktu = 25.000 liber št. Ale variabilní část oběžného kapitálu je 500 liber št.; variabilní kapitál obsažený v 25.000 librách št. se tedy rovná 25.000/5 = 5000 liber št. Dělíme-li těchto 5000 liber št. 500, dostaneme počet obratů 10, úplně tak jako u celkového kapitálu 2500 liber št.

Tento průměrný výpočet, podle něhož se hodnota ročního produktu dělí hodnotou zálohovaného kapitálu, a nikoli hodnotou části tohoto kapitálu, jíž se stále používá v jednom pracovním období (tedy v našem případě nikoli 400, nýbrž 500, nikoli kapitálem I, nýbrž kapitálem I + kapitálem II), je zde, kde jde jen o výrobu nadhodnoty, absolutně přesný. Později uvidíme, že s jiného hlediska úplně přesný není, jako není tento průměrný výpočet vůbec úplně přesný. T. j. stačí pro praktické účely kapitalisty, ale nevyjadřuje přesně nebo přiměřeně všechny reálné okolnosti obratu.

Doposud jsme vůbec nepřihlíželi k jedné části hodnoty zbožního kapitálu, totiž k nadhodnotě v něm obsažené, která byla za výrobního procesu vyrobena a vtělena do výrobku. Na ni musíme nyní zaměřit svou pozornost.

Za předpokladu, že týdně vynakládaný variabilní kapitál 100 liber št. vyrobí 100% nadhodnoty = 100 librám št., vyrobí variabilní kapitál 500 liber št., vynakládaný v pětitýdenním období obratu, nadhodnotu 500 liber št., t. j. polovinu pracovního dne představuje nadpráce.

Vyrobí-li však 500 liber št. variabilního kapitálu 500 liber št. nadhodnoty, vyrobí jí 5000 liber št. 10 x 500 = 5000 liber št. Avšak zálohovaný variabilní kapitál = 500 librám št. Poměr celkové masy nadhodnoty vyrobené za rok k sumě hodnoty zálohovaného variabilního kapitálu nazveme roční mírou nadhodnoty. V daném případě tedy činí 5000/500 = 1000%. Rozebereme-li tuto míru blíže, ukáže se, že se rovná míře nadhodnoty, kterou vyrobí zálohovaný variabilní kapitál za jedno období obratu, násobené počtem obratů variabilního kapitálu (který se kryje s počtem obratů celého oběžného kapitálu).

Variabilní kapitál zálohovaný během jednoho období obratu je v daném případě = 500 librám št.; nadhodnota jím vyrobená je rovněž = 500 librám št. Míra nadhodnoty během jednoho období obratu je tedy 500m/500v = 100%. Techto 100%, nasobeno 10, poctem obratu za rok, dáva 5000 m/500v = 1000%.

To platí pro roční míru nadhodnoty. Pokud však jde o masu nadhodnoty, dosaženou během určitého období obratu, rovná se tato masa hodnotě variabilního kapitálu zálohovaného během tohoto období, zde = 500 librám št., násobené mírou nadhodnoty, zde tedy 500 x 100/100 = 500 x 1 = 500 librám št. Kdyby byl zálohovaný kapitál = 1500 liber št., byla by při stejné míře nadhodnoty masa nadhodnoty 1500 x 100/100 = 1500 liber št.

Variabilní kapitál 500 liber št., který se obrátí desetkrát za rok a vyrobí za rok nadhodnotu 5000 liber št., kapitál, u něhož je tedy roční míra nadhodnoty 1000%, nazveme kapitálem A.

Předpokládejme nyní, že jiný variabilní kapitál B ve výši 5000 liber št. se zálohuje na celý rok (t. j. v daném případě na 50 týdnů), obrací se tedy jen jednou za rok. Předpokládejme dále, že se na konci roku výrobek zaplatí týž den, kdy je hotov, a že se tedy peněžní kapitál, v nějž se přeměňuje, týž den vrací. Období oběhu je tu tedy = 0, období obratu = pracovnímu období, totiž 1 roku. Jako v předcházejícím případě je v pracovním procesu každý týden variabilní kapitál 100 liber št., tedy v 50 týdnech 5000 liber št. Míra nadhodnoty nechť je dále táž, = 100%, t. j. při stejné délce pracovního dne představuje jeho polovina nadpráci. Vezmeme-li 5 týdnů, bude vložený variabilní kapitál = 500 librám št., míra nadhodnoty = 100%, masa nadhodnoty vyrobená během 5 týdnů bude tedy 500 liber št. Množství pracovní síly, která se přitom vykořisťuje, a stupeň jejího vykořisťování se tu předpokládají úplně stejné jako u kapitálu A.

Použitý variabilní kapitál 100 liber št. vyrábí každý týden nadhodnotu 100 liber št., tedy za 50 týdnů vyrobí použitý kapitál 100 x 50 = 5000 liber št. nadhodnotu 5000 liber št. Masa ročně vyrobené nadhodnoty je stejná jako v předcházejícím případě, = 5000 liber št., ale roční míra nadhodnoty je úplně jiná. Rovná se nadhodnotě vyrobené během roku, dělené zálohovaným variabilním kapitálem: 5000 m/5000v= 100%, kdežto dříve u kapitálu A byla rovna 1000%.

U kapitálu A i u kapitálu B jsme týdně vynakládali 100 liber št. variabilního kapitálu; stupeň zhodnocení čili míra nadhodnoty je úplně stejná 100%; velikost variabilního kapitálu je rovněž stejná = 100 liber št. Vykořisťuje se úplně stejné množství pracovní síly, velikost i stupeň vykořisťování jsou v obou případech stejné, pracovní dny jsou stejné a stejně se dělí na nutnou práci a nadpráci. Suma variabilního kapitálu použitého během roku je stejně velká, = 5000 liber št., uvádí do pohybu tutéž masu práce a vyssává z pracovní síly, uváděné do pohybu dvěma stejnými kapitály, stejnou masu nadhodnoty, 5000 liber št. A přesto je mezi ročními mírami nadhodnoty kapitálů A a B rozdíl 900%.

Tento jev ovšem budí dojem, jako by míra nadhodnoty závisela nejen na množství pracovní síly, kterou variabilní kapitál uvádí do pohybu, a na stupni jejího vykořisťování, ale kromě toho na jakýchsi nevysvětlitelných vlivech, které vyvěrají z procesu oběhu; a opravdu tento jev byl právě takto vykládán a vyvolal, třebaže ne v této čisté, nýbrž ve své složitější a skrytější formě (ve formě roční míry zisku) na začátku dvacátých let úplnou roztržku v Ricardově škole.

To, co je na tomto jevu zázračné, ihned mizí, postavíme-li kapitál A a kapitál B nejen zdánlivě, nýbrž skutečně do naprosto stejných podmínek. Podmínky jsou stejné jen tehdy, vydává-li se variabilní kapitál B v celém svém rozsahu na placení pracovní síly v témž časovém úseku jako kapitál A.

5000 liber št. kapitálu B se pak vydává během 5 týdnů, výdaj 1000 liber št. týdně činí ročně 50.000 liber št. Nadhodnota pak činí za našeho předpokladu rovněž 50.000 liber št. Obrátivší se kapitál = 50.000 liber št., dělen zálohovaným kapitálem 5000 liber št., dává počet obratů = 10. Míra nadhodnoty = 5000 m/5000v = 100%, násobena počtem obratů = 10, dává roční míru nadhodnoty = 50.000m/5000 v)= 10/1 = 1000%. Nyní jsou tedy roční míry nadhodnoty pro A i B stejné, totiž 1000%, ale masy nadhodnoty jsou: pro B 50.000 liber št., pro A 5000 liber št.; masy vyrobené nadhodnoty se nyní k sobě mají jako hodnoty zálohovaných kapitálů B a A, totiž jako 5000 : 500 = 10 : 1. Zato však uvedl kapitál B za stejně dlouhou dobu do pohybu desetkrát tolik pracovní síly jako kapitál A.

Jen kapitál skutečně použitý v pracovním procesu vytváří nadhodnotu a jen pro něj platí všechny zákony o nadhodnotě, jež jsme dosud vyvodili, tedy i zákon, že při dané míře nadhodnoty je masa nadhodnoty určena relativní velikostí variabilního kapitálu.

Pracovní proces sám se měří časem. Je-li dána délka pracovního dne (jako zde, kde proto, abychom mohli jasně ukázat rozdíl v roční míře nadhodnoty, předpokládáme, že všechny podmínky jsou u kapitálu A a kapitálu B stejné), skládá se pracovní týden z určitého počtu pracovních dnů. Nebo se můžeme na nějaké pracovní období, na př. v daném případě pětitýdenní, dívat jako na jediný pracovní den, na př. o 300 hodinách, je-li pracovní den = 10 hodinám a týden = 6 pracovním dnům. Ale potom musíme toto číslo násobit počtem dělníků, jichž se každý den společně používá současně v témž pracovním procesu. Kdyby jich bylo na př. 10, byl by pracovní týden = 60 x 10 = 600 hodin a pětitýdenní pracovní období = 600 x 5 = 3000 hodin. Při stejné míře nadhodnoty a při stejné délce pracovního dne se tedy používá stejně velkých variabilních kapitálů, uvádějí-li se v témž časovém úseku do pohybu stejné masy pracovní síly (které se vypočítají tím, že se pracovní síla určité ceny násobí počtem těchto sil).

Vraťme se nyní ke svým původním příkladům. V obou případech, A i B, používá se během každého týdne v roce stejně velkých variabilních kapitálů, 100 liber št. týdně. Použité variabilní kapitály skutečně fungující v pracovním procesu jsou tedy stejné, zálohované variabilní kapitály nejsou však vůbec stejné. V příkladu A se na každých 5 týdnů zálohuje 500 liber št., z nichž se týdně používá 100 liber št. V příkladu B je na první pětitýdenní období nutno zálohovat 5000 liber št., z nich se však používá jen 100 liber št. týdně, tedy za 5 týdnů jen 500 liber št. = 1/10, zálohovaného kapitálu. V druhém pětitýdenním období je nutno zálohovat 4500 liber št., ale používá se jen 500 liber št. atd. Variabilní kapitál zálohovaný na určité období se přeměňuje v používaný, t. j. skutečně fungující a působící variabilní kapitál jen v té míře, v jaké skutečně vstupuje do úseků onoho časového období, vyplněných pracovním procesem, pokud skutečně funguje v pracovním procesu. V mezidobí, kdy se jedna jeho část zálohuje jen proto, aby byla použita teprve později, tato část pro pracovní proces jakoby vůbec neexistuje a nemá tedy vliv ani na tvoření hodnoty, ani na tvoření nadhodnoty. Tak je tomu na př. s kapitálem A 500 liber št. Je celý zálohován na 5 týdnů, ale každý týden z něho vchází postupně do pracovního procesu jen 100 liber št. V prvním týdnu se ho používá 1/5; 4/5 jsou zálohovány, ačkoli se jich ještě nepoužívá; musí být v zásobě pro pracovní proces dalších 4 týdnů, a proto se musí zálohovat.

Okolnosti, které vytvářejí rozdíl v poměru mezi zálohovaným a použitým variabilním kapitálem, působí na výrobu nadhodnoty — při dané míře nadhodnoty jen potud a jen tak, že činí rozdílným množství variabilního kapitálu, jehož může být v určitém období, na př. v 1 týdnu, v 5 týdnech a pod. skutečně použito. Zálohovaný variabilní kapitál funguje jako variabilní kapitál jen potud a jen během té doby, pokud a kdy se ho skutečně používá; ale nefunguje tak v době, kdy zůstává zálohován jako zásoba, aniž se ho skutečně používá. Avšak všechny okolnosti, které mění poměr mezi zálohovaným a používaným variabilním kapitálem, vyúsťují v rozdíl v obdobích obratu (určený buď odlišností pracovního období, nebo období oběhu, nebo obou). Zákonem výroby nadhodnoty je, že při stejné míře nadhodnoty vyrábějí stejné masy fungujícího variabilního kapitálu stejné masy nadhodnoty. Používají-li tedy kapitály A a B ve stejných časových úsecích při stejné míře nadhodnoty stejných mas variabilního kapitálu, musí za stejnou dobu vyrobit stejné masy nadhodnoty, ať je poměr tohoto variabilního kapitálu použitého v určitém časovém úseku k variabilnímu kapitálu zálohovanému v téže době seberůznější, ať je tedy seberůznější i poměr vyrobených mas nadhodnoty nikoli k použitému, nýbrž vůbec zálohovanému variabilnímu kapitálu. Rozdílnost tohoto poměru nikterak neodporuje zákonům o výrobě nadhodnoty, které jsme vyvodili, naopak, potvrzuje je a je jejich nevyhnutelným důsledkem.

Zkoumejme první pětitýdenní výrobní období kapitálu B. Na konci 5. týdne je použito a spotřebováno 500 liber št. Nově vyrobená hodnota = 1000 librám št., tedy 500m/500v = 100% — úplně tak jako u kapitálu A. To, že u kapitálu A se nadhodnota realisuje spolu se zálohovaným kapitálem, kdežto u B nikoli, se nás tu prozatím netýká, protože tu jde zatím jen o výrobu nadhodnoty a o její poměr k variabilnímu kapitálu, zálohovanému během její výroby. Vypočítáme-li naproti tomu poměr nadhodnoty B nikoli k té části zálohovaného kapitálu 5000 liber št., která byla za výroby této nadhodnoty použita a tudíž i spotřebována, ale k celému tomuto zálohovanému kapitálu, dostaneme = 500m/5000 v= 1/10 = 10%. Tedy pro kapitál B 10% a pro kapitál A 100%, t. j. desetkrát víc. Kdyby se o tom řeklo: takový rozdíl v míře nadhodnoty pro stejně velké kapitály, které uvádějí do pohybu stejné množství práce, a to práce, která se dělí rovným dílem na zaplacenou a nezaplacenou práci, odporuje zákonům výroby nadhodnoty — byla by odpověď prostá a byla by dána při prvním pohledu na skutečné poměry: u A se vyjadřuje skutečná míra nadhodnoty, t. j. poměr nadhodnoty vyrobené během 5 týdnů variabilním kapitálem 500 liber št. k tomuto variabilnímu kapitálu 500 liber št. U B se naproti tomu vypočítává způsobem, který nemá co činit ani s výrobou nadhodnoty, ani s určením míry nadhodnoty, které jí odpovídá. 500 liber št. nadhodnoty, vyrobených variabilním kapitálem 500 liber št., se totiž nevypočítává v poměru k 500 librám št. variabilního kapitálu, zálohovaného za výroby této nadhodnoty, nýbrž v poměru ke kapitálu 5000 liber št., jehož 9/104500 liber št., nemá vůbec co činit s výrobou této nadhodnoty 500 liber št. a má naopak teprve postupně začínat fungovat během následujících 45 týdnů; pro výrobu prvních pěti týdnů, o něž tu jedině jde, tedy vůbec neexistuje. V tomto případě není tedy rozdíl v míře nadhodnoty kapitálů A a B problém.

Srovnejme nyní roční míry nadhodnoty pro kapitály B a A. Pro kapitál B máme 5000m/5000 v = 100% ; pro kapitál A 5000m/500 v = 1000%. Ale poměr měr nadhodnoty je týž jako dříve. Tam jsme měli: míra nadhodnoty B/míra nadhodnoty A a nyní máme: roční míra nadhodnoty B/roční míra nadhodnoty A ale 10%/100% = 100%/1000%, tedy týž poměr jako výše.

Nyní se však problém změnil. Roční míra kapitálu B: 5000 m/5000 v= 100% není ovšem žádná odchylka — ba ani zdání odchylky — od známých nám zákonů o výrobě a jí odpovídající míře nadhodnoty. 5000 v zálohovaných a produktivně spotřebovaných během roku vyrobilo 5000 m. Míra nadhodnoty je tedy vyjádřena uvedeným zlomkem 5000 m/5000 v= 100%. Roční míra se shoduje se skutečnou mírou nadhodnoty. Anomalii, kterou je třeba vysvětlit, nevykazuje tentokrát, jako dříve, kapitál B, nýbrž kapitál A.

Máme tu míru nadhodnoty 5000 m/500 v = 1000%. Ale jestliže jsme v prvním případě vypočítávali 500 m, výrobek pěti týdnů, v poměru k zálohovanému kapitálu 5000 liber št., jehož 9/10 se při výrobě této nadhodnoty nepoužívalo, vypočítává se nyní 5000 m v poměru k 500 v, t.j. pouze k 1/10 variabilního kapitálu, jehož bylo při výrobě 5000 m skutečně použito; neboť 5000 m je výrobek variabilního kapitálu 5000 liber št. produktivně spotřebovaného během 50 týdnů, nikoli výrobek variabilního kapitálu 500 liber št., spotřebovaného během jediného pětitýdenního období. V prvním případě se nadhodnota vyrobená za 5 týdnů vypočítává v poměru ke kapitálu zálohovanému na 50 týdnů, tedy desetkrát většímu, než je kapitál spotřebovaný během pěti týdnů. Nadhodnota vyrobená za 50 týdnů se nyní vypočítává v poměru ke kapitálu zálohovanému na 5 týdnů, tedy ke kapitálu desetkrát menšímu než kapitál spotřebovaný během padesáti týdnů. Kapitál A 500 liber št. se nikdy nezálohuje na déle než 5 týdnů. Po uplynutí těchto pěti týdnů připlývá zpět a může tím, že se za rok desetkrát obrátí, týž proces desetkrát opakovat. Z toho vyplývají dva závěry:

Za prvé: zálohovaný kapitál A je jen pětkrát větší než část kapitálu stále používaná ve výrobním procesu během jednoho týdne. Naproti tomu kapitál B, který se obrátí jen jednou za 50 týdnů, a musí být tedy zálohován na 50 týdnů, je 50krát větší než ta jeho část, jíž může být stále používáno během týdne. Obrat tedy modifikuje poměr mezi kapitálem, který se zálohuje na výrobní proces během roku, a kapitálem, jehož lze ustavičně používat na určité výrobní období, na př. na týden. Máme tu před sebou první případ, kdy se pětitýdenní nadhodnota nevypočítává v poměru ke kapitálu používanému během těchto pěti týdnů, nýbrž v poměru ke kapitálu desetkrát většímu, používanému během padesáti týdnů.

Za druhé: pětitýdenní období obratu kapitálu A tvoří jen 1/10 roku, rok tedy obsahuje 10 takových období obratu, v nichž se kapitálu A 500 liber št. stále znovu používá. Použitý kapitál se tu rovná kapitálu zálohovanému na 5 týdnů, násobenému počtem období obratu za rok. Kapitál použitý během roku = 500 x 10 = 5000 liber št. Kapitál zálohovaný během roku = 5000 / 10 = 500 librám št. Skutečně, ačkoli se těchto 500 liber št. stále znovu používá, nezálohuje se znovu každých 5 týdnů víc než týchž 500 liber št. Na druhé straně, u kapitálu B se během pěti týdnů používá a na těchto 5 týdnů zálohuje jen 500 liber št. Ale poněvadž období obratu je zde = 50 týdnům, rovná se kapitál použitý během roku kapitálu zálohovanému nikoli na 5 týdnů, nýbrž na 50 týdnů. Ročně vyrobená masa nadhodnoty se však při dané míře nadhodnoty řídí podle kapitálu, použitého během roku, a ne podle kapitálu, který byl během roku zálohován. Není tedy pro tento kapitál 5000 liber št., který se obrací jednou, větší než pro kapitál 500 liber št., který se obrací desetkrát, a je jen proto tak velká, že sám kapitál, který se obrací jednou za rok, je desetkrát větší než kapitál, který se obrací desetkrát za rok.

Variabilní kapitál, který se během roku obrátil — tedy část ročního produktu nebo část ročních výdajů, která se jí rovná — je variabilní kapitál během roku skutečně použitý, produktivně spotřebovaný. Z toho vyplývá: jsou-li ročně se obrátivší variabilní kapitál A a ročně se obrátivší variabilní kapitál B stejně velké a je-li jich použito za týchž podmínek zhodnocení, je-li tedy míra nadhodnoty pro oba stejná, musí být ročně vyrobená masa nadhodnoty pro oba také stejná; tedy — poněvadž jsou masy použitých kapitálů stejné — musí být stejná také míra nadhodnoty vypočítaná na rok, pokud se vyjadřuje vzorcem: masa ročně vyrobené nadhodnoty/variabilní kapitál obrátivší se za rok. Čili vyjádřeno všeobecně: ať je relativní velikost obrátivších se variabilních kapitálů jakákoli, je míra jejich nadhodnoty vyrobené během roku určena mírou nadhodnoty, kterou příslušné kapitály dávaly v průměrných pracovních obdobích (na př. průměrně týdně nebo denně).

To je jediný důsledek, který vyplývá ze zákonů výroby nadhodnoty a určení její míry.

Podívejme se dále, co vyjadřuje poměr:
kapitál obrátivší se za rok /zálohovaný kapitál (při čemž, jak už bylo řečeno, bereme v úvahu jen variabilní kapitál). Dělením dojdeme k počtu obratů kapitálu, zálohovaného v jednom roce.

U kapitálu A máme: 5000 liber št. kapitálu obrátivšího se za rok /500 liber št. zálohovaného kapitálu; u kapitálu B: 5000 liber št. kapitálu obrátivšího se za rok /5000 liber št. zálohovaného kapitálu.

V obou poměrech vyjadřuje čitatel zálohovaný kapitál, násobený počtem obratů: u A 500 x 10, u B 5000 x 1. Čili násobený převráceným zlomkem doby obratu vypočítané na rok. Doba obratu pro A je 1/10 roku; převrácený zlomek doby obratu je 10/1 roku, tedy 500 x 10/1 = 5000; pro B 5000 x 1/1 = 5000. Jmenovatel vyjadřuje obrátivší se kapitál, násobený převráceným zlomkem počtu obratů: pro A 5000 x 1/10, pro B 5000 x 1/1.

Příslušné masy práce (součet zaplacené i nezaplacené práce), uváděné do pohybu oběma variabilními kapitály obrátivšími se za rok, jsou tu stejné, poněvadž samy obrátivší se kapitály i jejich míry zhodnocení jsou stejné.

Poměr kapitálu obrátivšího se během roku k zálohovanému variabilnímu kapitálu ukazuje: 1) Poměr, v jakém je kapitál, který musí být zálohován, k variabilnímu kapitálu, použitému v určitém pracovním období. Je-li počet obratů = 10, jako u kapitálu A, a vycházíme-li z toho, že rok má 50 týdnů, je doba obratu = 5 týdnům. Variabilní kapitál musí být zálohován na těchto 5 týdnů, a tento kapitál, zálohovaný na 5 týdnů, musí být pětkrát větší než variabilní kapitál používaný během jednoho týdne. T. j. během jednoho týdne může být použito jen 1/5 zálohovaného kapitálu (zde 500 liber št.). Naproti tomu u kapitálu B, kde je počet obratů = = 1/1, je doba obratu = 1 roku = 50 týdnům. Poměr zálohovaného kapitálu k týdně používanému kapitálu je tedy 50 : 1. Kdyby byl tento poměr u B stejný jako u A, musel by B týdně vkládat do podniku 1000 liber št. místo 100. — 2) Z toho vyplývá, že B musí použít desetkrát většího kapitálu (5000 liber št.) než A, aby uvedl do pohybu tutéž masu variabilního kapitálu, tedy také při dané míře nadhodnoty tutéž masu práce (placené i neplacené), a aby tedy během roku vyrobil tutéž masu nadhodnoty jako A. Skutečná míra nadhodnoty nevyjadřuje nic jiného než poměr variabilního kapitálu, jehož bylo v určitém časovém úseku použito, k nadhodnotě vyrobené v téže době; jinak řečeno, vyjadřuje masu nezaplacené práce, kterou uvede do pohybu variabilní kapitál, jehož bylo v tomto časovém úseku použito. Nemá absolutně co činit s tou částí variabilního kapitálu, která sice byla zálohována, ale nebylo jí v dané době použito, a proto nemá právě tak nic společného s poměrem mezi částí kapitálu, zálohovanou v určitém časovém úseku, a tou částí kapitálu, které bylo v téže době použito — s poměrem, který se vlivem období obratu pro různé kapitály modifikuje a diferencuje.

Z toho, co bylo dosud vyloženo, spíše vyplývá, že roční míra nadhodnoty se jen v jediném případě shoduje se skutečnou mírou nadhodnoty, která vyjadřuje stupeň vykořisťování práce: a to tehdy, obrátí-li se zálohovaný kapitál jen jednou za rok, tedy rovná-li se zálohovaný kapitál kapitálu obrátivšímu se za rok, t. j. jestliže se poměr masy nadhodnoty vyrobené za rok ke kapitálu použitému během roku k její výrobě shoduje a je totožný s poměrem masy nadhodnoty vyrobené za rok ke kapitálu zálohovanému během roku.

A) Roční míra nadhodnoty se rovná: masa nadhodnoty vyrobené během roku/zálohovaný variabilní kapitál. Ale masa nadhodnoty vyrobené během roku se rovná skutečné míře nadhodnoty násobené variabilním kapitálem použitým k její výrobě. Kapitál použitý k výrobě roční masy nadhodnoty se rovná zálohovanému kapitálu, násobenému počtem jeho obratů, který tu označíme n. Vzorec A se tedy mění v tento vzorec: B) Roční míra nadhodnoty se rovná: (skutečná míra nadhodnoty x zálohovaný variabilní kapitál x <em>n>/em>) / zálohovaný variabilní kapitál. Na př. pro kapitál B = (100% x 5000 x 1) / 5000 čili 100%. Jen tehdy, je-li n = 1, t. j. obrací-li se zálohovaný variabilní kapitál jen jednou za rok, tedy rovná-li se kapitálu použitému za rok nebo obrátivšímu se za rok, rovná se roční míra nadhodnoty skutečné míře nadhodnoty. Označíme-li roční míru nadhodnoty M‘, skutečnou míru nadhodnoty m‘, zálohovaný variabilní kapitál v, počet obratů n, pak M‘ = (m’vn) / v = m’n; tedy M‘ = m’n, a = m‘ jen tehdy, je-li n = 1; tedy M‘ = m‘ x 1 = m‘.

Z dosavadního výkladu dále vyplývá: roční míra nadhodnoty je vždy = m‘n, t.j. je rovna skutečné míře nadhodnoty vyrobené v jednom období obratu variabilním kapitálem spotřebovaným na toto období, násobené počtem obratů tohoto variabilního kapitálu za rok nebo násobené (což je totéž) převráceným zlomkem jeho doby obratu počítané vzhledem k roku jako jednotce. (Obrátí-li se variabilní kapitál desetkrát za rok, je doba jeho obratu = 1/10 roku; převrácený zlomek doby obratu je tedy = 10/1 = 10.)

Z toho vyplývá dále: M‘ = m‘, je-li n = 1. M‘je větší než m‘, je-li n větší než 1, t.j. obrátí-li se zálohovaný kapitál víckrát než jednou za rok, čili je-li obrátivší se kapitál větší než zálohovaný.

Konečně M‘ je menší než m‘, je-li n menší než 1, t.j. je-li kapitál obrátivší se za rok jen částí zálohovaného kapitálu, trvá-li tedy období obratu déle než rok.

Zastavme se na chvíli u posledního případu.

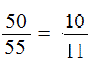
Ponecháme všechny předpoklady našeho dřívějšího příkladu, jen období obratu nechť se prodlouží na 55 týdnů. Pracovní proces vyžaduje týdně 100 liber št. variabilního kapitálu, tedy 5500 liber št. na období obratu, a vyrábí týdně 100 m; m‘ je tedy jako dříve 100%. Počet obratů, n, je tu = 50/55 = 10/11‚ protože doba obratu je 1 + 1/10 roku (bereme-li rok o 50 týdnech) = 11/10roku.

M‘ = (100% x 5500 x (10/11)) / 5500 = 100 x (10/11) = 1000 / 11 = 90 x (10/ 11)%, je tedy menší než 100%. Skutečně, kdyby byla roční míra nadhodnoty 100%, muselo by 5500 v vyrobit za rok 5500 rn, zatím co k tomu potřebuje 11/10 roku. Těchto 5500 v vyrobí během roku jen 5000 m, roční míra nadhodnoty tedy je = (5000 m / 5500 v) = (10/11) = 90 x (10/ 11)%.

Roční míra nadhodnoty čili porovnání nadhodnoty vyrobené během roku s variabilním kapitálem zálohovaným vůbec (na rozdíl od variabilního kapitálu obrátivšího se za rok) není proto pouze subjektivním porovnáním: toto srovnání vyvolává sám skutečný pohyb kapitálu. Majiteli kapitálu A se na konci roku vrátil variabilní kapitál = 500 librám št., který zálohoval, a mimo to 5000 liber št. nadhodnoty. Velikost jeho zálohovaného kapitálu nevyjadřuje masa kapitálu, jíž během roku použil, nýbrž ta, která se k němu periodicky vrací. Pro otázku, kterou tu zkoumáme, nemá žádný význam, existuje-li kapitál na konci roku zčásti v podobě výrobní zásoby, zčásti v podobě zbožního nebo peněžního kapitálu, a v jaké proporci se na tyto různé části dělí. Majiteli kapitálu B se vrátilo 5000 liber št., kapitál, který zálohoval, a nadto ještě 5000 liber št. nadhodnoty. Pro majitele kapitálu C (posledního kapitálu, který jsme zkoumali, 5500 liber št.) bylo během roku vyrobeno 5000 liber št. nadhodnoty (při vynaložení 5000 liber št. a míře nadhodnoty 100%), ale kapitál, který zálohoval, ani vyrobená nadhodnota se k němu ještě nevrátily.

M‘ = m‘n vyjadřuje, že míra nadhodnoty, která platí pro variabilní kapitál, použitý během jednoho období obratu:

masa nadhodnoty vyrobená během jednoho období obratu / variabilní kapitál použitý během jednoho období obratu ,

se má násobit počtem období obratu čili počtem období reprodukce zálohovaného variabilního kapitálu — počtem období, v nichž tento kapitál obnovuje svůj koloběh.

Viděli jsme už v knize I, kap. IV („Přeměna peněz v kapitál“) a pak v knize I, kap. XXI („Prostá reprodukce“), že se kapitálová hodnota vůbec zálohuje, nikoli vydává, poněvadž se tato hodnota, jakmile proběhne různými fázemi svého koloběhu, opět vrací ke svému výchozímu bodu, a to obohacena o nadhodnotu. To ji charakterisuje jako zálohovanou hodnotu. Doba, která uplyne od výchozího bodu jejího pohybu do chvíle jejího návratu, je doba, na kterou je zálohována. Celý koloběh, jímž kapitálová hodnota prochází, měřen dobou od jejího zálohování do jejího návratu, tvoří její obrat, a trvání tohoto obratu tvoří období obratu. Když toto období uplyne a koloběh je skončen, může táž kapitálová hodnota znovu zahájit týž koloběh, tedy se znovu zhodnocovat, vyrábět nadhodnotu. Obrátí-li se variabilní kapitál desetkrát za rok, jako u A, vyrobí se za rok týmž zálohovaným kapitálem masa nadhodnoty odpovídající jednomu období obratu desetkrát.

Musíme si ujasnit povahu zálohování s hlediska kapitalistické společnosti.

Kapitál A, který se obrátí desetkrát za rok, se zálohuje během roku desetkrát. Na každé nové období obratu se zálohuje znovu. Ale zároveň A během roku nezálohuje nikdy víc než tutéž kapitálovou hodnotu 500 liber št., a v podstatě nikdy nemá pro výrobní proces, který zkoumáme, k disposici víc než těchto 500 liber št. Jakmile těchto 500 liber št. skončí jeden koloběh, přiměje je kapitalista A zahájit týž koloběh znovu; je v povaze kapitálu, že si uchovává charakter kapitálu právě tím, že neustále funguje v opakujících se výrobních procesech jako kapitál. V daném případě se také nikdy nezálohuje na delší dobu než na 5 týdnů. Trvá-li obrat déle, kapitál nestačí. Zkrátí-li se doba obratu, stává se část kapitálu přebytečnou. Nezálohuje se tu deset kapitálů po 500 librách št., nýbrž zálohuje se v postupných časových úsecích desetkrát jeden kapitál 500 liber št. Roční míra nadhodnoty se tedy nevypočítává z kapitálu 500 liber št., zálohovaného desetkrát, čili z 5000 liber št., nýbrž z kapitálu 500 liber št. zálohovaného najednou; stejně jako oběhne-li 1 tolar desetkrát, představuje vždy jen jediný tolar, který je v oběhu, třebaže vykonává funkci 10 tolarů. Ale v rukou, v nichž při každé transakci je, zůstává stále jednou a touž hodnotou 1 tolaru.

Právě tak ukazuje kapitál A při každém svém návratu i při svém návratu na konci roku, že jeho majitel operuje stále jen jednou a touž kapitálovou hodnotou 500 liber št. Do jeho rukou se tedy po každé vrací jen 500 liber št. Kapitál, který zálohoval, není proto nikdy větší než 500 liber št. Zálohovaný kapitál 500 liber št. je proto jmenovatelem zlomku, který vyjadřuje roční míru nadhodnoty. Pro roční míru nadhodnoty jsme měli tento vzorec: M‘ = m’vn/v = m‘n. Protože skutečná míra nadhodnoty m‘ = m/v‚ rovná se mase nadhodnoty dělené variabilním kapitálem, který ji vyrobil, můžeme v m‘n dosadit hodnotu[*] m‘, t.j. m/v‚ a dostaneme pak jiný vzorec: M‘ = mn/v.

Ale tím, že se desetkrát obrací a že se tudíž desetkrát znovu zálohuje, vykonává kapitál 500 liber št. funkci kapitálu desetkrát většího, kapitálu 5000 liber št., stejně jako 500 mincí v hodnotě jednoho tolaru, které oběhnou každý desetkrát za rok, plní tutéž funkci jako 5000 takových mincí, které oběhnou jen jednou.

II. Obrat jednotlivého variabilního kapitálu

„Ať je společenská forma výrobního procesu jakákoli, výrobní proces musí být nepřetržitý, t. j. musí periodicky stále znovu probíhat týmiž stadii... Proto každý společenský výrobní proces, zkoumán ve stálé souvislosti a ustavičném toku svého obnovování, je zároveň reprodukčním procesem... Jako periodický přírůstek kapitálové hodnoty čili periodický plod fungujícího kapitálu nabývá nadhodnota formy důchodu, vyvěrajícího z kapitálu.“ (Kniha I, kap. XXI. [Srov. K. Marx: „Kapitál“, díl I, str. 593, 594])

Máme 10 pětitýdenních období obratu kapitálu A; v prvním období obratu se zálohuje 500 liber št. variabilního kapitálu, t. j. každý týden se vydává 100 liber št. za pracovní sílu, takže na konci prvního období obratu bude na pracovní sílu vydáno 500 liber št. Těchto 500 liber št., tvořících původně část celého zálohovaného kapitálu, přestalo být kapitálem. Jsou vydány na mzdu. Dělníci zase jimi platí, když si kupují životní prostředky; spotřebují tedy životní prostředky v hodnotě 500 liber št. Tím se zničí určité množství zboží za tuto sumu hodnoty (to, co dělník ušetří na př. v penězích atd., rovněž není kapitál). Tato masa zboží se spotřebovává pro dělníka neproduktivně, až na to, že udržuje jeho pracovní sílu, nepostradatelný nástroj kapitalisty, ve stavu schopném práce. Ale za druhé, pro kapitalistu je těchto 500 liber št. vydáno za pracovní sílu téže hodnoty (resp. ceny). Pracovní síla je kapitalistou v pracovním procesu produktivně spotřebována. Na konci pátého týdne se objeví nově vyrobená hodnota 1000 liber št. Polovina z toho, 500 liber št., je reprodukovaná hodnota variabilního kapitálu, vynaloženého na zaplacení pracovní síly. Druhá polovina, 500 liber št., je nově vyrobená nadhodnota. Ale tato pětitýdenní pracovní síla, ve kterou se prostřednictvím směny přeměnila část kapitálu, a tím se přeměnila ve variabilní kapitál, se rovněž vydala, spotřebovala, třebaže produktivně. Práce, která působila včera, není táž práce, která působí dnes. Její hodnota plus nadhodnota, kterou vytvořila, existuje nyní jako hodnota věci odlišné od pracovní síly, jako hodnota výrobku. Ale tím, že se výrobek přeměnil v peníze, může být část jeho hodnoty, rovnající se hodnotě zálohovaného variabilního kapitálu, znovu přeměněna v pracovní sílu, může tedy znovu fungovat jako variabilní kapitál. Na tom, že kapitálovou hodnotou, nejen reprodukovanou, nýbrž už i přeměněnou nazpět v peněžní formu, jsou zaměstnáváni tíž dělníci, t. j. tíž nositelé pracovní síly, nezáleží. Je možné, že v druhém období obratu kapitalista použije nových dělníků místo starých.

V 10 pětitýdenních obdobích obratu se tedy postupně vydá na mzdu ve skutečnosti kapitál 5000 liber št ‚ a nikoli 500 liber št. a tuto mzdu vydají zase dělníci na životní prostředky. Takto zálohovaný kapitál 5000 liber št. je spotřebován. Už neexistuje. Na druhé straně se do výrobního procesu postupně včleňuje pracovní síla v hodnotě nikoli 500, nýbrž 5000 liber št. a nejen reprodukuje svou vlastní hodnotu rovnající se 5000 librám št., nýbrž vytváří přebytek, nadhodnotu 5000 liber št. Variabilní kapitál 500 liber št., zálohovaný na druhé období obratu, není totožný s kapitálem 500 liber št., který byl zálohován v prvním období obratu. Ten je spotřebován, vydán na mzdu. Ale je nahrazen novým variabilním kapitálem 500 liber št., který byl v prvním období obratu vyroben ve zbožní formě a opět přeměněn v peněžní formu. Tento nový peněžní kapitál 500 liber št. je tedy peněžní formou masy zboží, která byla nově vyrobena v prvním období obratu. Ta okolnost, že v rukou kapitalisty je opět táž peněžní částka 500 liber št., t.j. ponecháme-li stranou nadhodnotu, právě tolik peněžního kapitálu, kolik původně zálohoval, zastírá fakt, že kapitalista operuje nově vyrobeným kapitálem (pokud jde o ostatní hodnotové součásti zbožního kapitálu, které nahrazují prvky konstantního kapitálu, není jejich hodnota nově vyrobena, nýbrž je jen změněna forma, v níž tato hodnota existuje). — Vezměme třetí období obratu. Zde je zřejmé, že kapitál 500 liber št., zálohovaný po třetí, není starý kapitál, nýbrž kapitál nově vyrobený, neboť je peněžní formou masy zboží vyrobené ve druhém, a nikoli v prvním období obratu, t.j. peněžní formou té části této masy zboží, jejíž hodnota se rovná hodnotě zálohovaného variabilního kapitálu. Masa zboží vyrobená v prvním období obratu je prodána. Část její hodnoty, rovnající se variabilní části hodnoty zálohovaného kapitálu, byla přeměněna v novou pracovní sílu druhého období obratu a vyrobila novou masu zboží, která byla zase prodána, a část její hodnoty tvoří kapitál 500 liber št., zálohovaný ve třetím období obratu.

A tak to probíhá po deset období obratu. Během nich se každých pět týdnů vrhají na trh nově vyrobené masy zboží (jejichž hodnota, pokud nahrazuje variabilní kapitál, je rovněž nově vyrobena, neobjevuje se jen znovu jako u konstantní oběžné části kapitálu), a tím se výrobnímu procesu stále přivtěluje nová pracovní síla.

Desetinásobným obratem zálohovaného variabilního kapitálu 500 liber št. se tedy nedosahuje toho, že tento kapitál 500 liber št. může být desetkrát produktivně spotřebován nebo že se variabilního kapitálu, který stačí na 5 týdnů, může používat po 50 týdnů. Naopak, za 50 týdnů se používá 10 x 500 liber št. variabilního kapitálu, a kapitál 500 liber št. stačí vždy jen na 5 týdnů a po uplynutí těchto 5 týdnů se musí nahradit nově vyrobeným kapitálem 500 liber št. To platí pro kapitál A stejně jako pro kapitál B. Ale zde začíná rozdíl.

Na konci prvního pětitýdenního období je kapitalistou B i A zálohován a vydán variabilní kapitál 500 liber št. B i A přeměnili jeho hodnotu v pracovní sílu a nahradili ji částí hodnoty výrobku touto pracovní silou nově vyrobené, částí, která se rovná hodnotě zálohovaného variabilního kapitálu 500 liber št. Pro B i A pracovní síla nejen nahradila hodnotu vydaného variabilního kapitálu 500 liber št. novou hodnotou v téže částce, nýbrž připojila k ní i nadhodnotu, podle našeho předpokladu nadhodnotu stejné velikosti.

Ale nově vyrobená hodnota, která nahrazuje zálohovaný variabilní kapitál a zvětšuje jeho hodnotu o nadhodnotu, není u B ve formě v níž může znovu fungovat jako produktivní kapitál, resp. jako variabilní kapitál. U A v takové formě je. A až do konce roku není u B variabilní kapitál, jejž B vydává v prvních 5 týdnech a pak postupně v každých 5 týdnech, třebaže se nahrazuje nově vyrobenou hodnotou plus nadhodnotou, v takové formě, v níž může fungovat znovu jako produktivní kapitál, resp. variabilní kapitál. Jeho hodnota je sice nahrazena novou hodnotou, tedy obnovena, ale forma jeho hodnoty (zde absolutní forma hodnoty, její peněžní forma) obnovena není.

Pro druhé pětitýdenní období (a tak postupně pro každých 5 týdnů během roku) musí tedy být právě tak v zásobě dalších 500 liber št. jako pro první období. Ponecháme-li stranou úvěrové poměry, musí tedy být začátkem roku v zásobě 5000 liber št. jako latentní zálohovaný peněžní kapitál, třebaže se budou skutečně vydávat, postupně přeměňovat v pracovní sílu až v průběhu roku.

Protože u A naproti tomu končí koloběh, obrat zálohovaného kapitálu už po 5 týdnech, je hodnota, která slouží k nahrazování, už po uplynutí prvních 5 týdnů v takové formě, v níž může uvést na 5 týdnů do pohybu novou pracovní sílu: je ve své původní, peněžní formě.

Ve druhém pětitýdenním období se u A i u B spotřebovává nová pracovní síla a na placení této pracovní síly se vydává nový kapitál 500 liber št. Životní prostředky dělníků, koupené za prvních 500 liber št., jsou spotřebovány, v každém případě zmizela jejich hodnota z rukou kapitalisty. Za druhých 500 liber št. se kupuje nová pracovní síla, berou se z trhu nové životní prostředky. Krátce, vydává se nový kapitál 500 liber št., a ne starý kapitál. Ale u A je tento nový kapitál 500 liber št. peněžní formou nově vyrobené hodnoty, nahrazující dříve vydaných 500 liber št. U B je tato nahrazující hodnota ve formě, v níž nemůže fungovat jako variabilní kapitál. Je tu sice, ale ne ve formě variabilního kapitálu. Má-li výrobní proces pokračovat, musí tedy být pro příštích 5 týdnů po ruce a musí být zálohován dodatečný kapitál 500 liber št. v peněžní formě nezbytné pro daný případ. Tak vydá A i B za 50 týdnů stejné množství variabilního kapitálu, zaplatí a spotřebuje stejné množství pracovní síly. Ale B ji musí zaplatit tím, že zálohoval kapitál rovný její celkové hodnotě = 5000 librám št., kdežto A ji platí postupně hodnotou stále obnovovanou v peněžní formě, vyráběnou během každých pěti týdnů a nahrazující kapitál 500 liber št., zálohovaný na každých 5 týdnů. Zde se tedy nikdy nezálohuje víc peněžního kapitálu než na 5 týdnů, t.j. nikdy se nezálohuje kapitál větší než 500 liber št., zálohovaných na prvních 5 týdnů. Těchto 500 liber št. stačí na celý rok. Je proto jasné, že při stejném stupni vykořisťování práce, při stejné skutečné míře nadhodnoty musí se roční míry nadhodnoty u A a B k sobě mít v opačném poměru, než se k sobě mají velikosti variabilních peněžních kapitálů, které se musely zálohovat, aby během roku uvedly do pohybu stejnou masu pracovní síly. A: = 5000 m/500 v = 1000%, a B: 5000 m/5000 v = 100%. Ale 500 v : 5000 v = 1 : 10 = 100% : 1000%.

Rozdíl vyvěrá z rozdílu v obdobích obratu, t.j. v těch obdobích, po jejichž uplynutí může hodnota, nahrazující variabilní kapitál použitý v určitém časovém úseku, znovu fungovat jako kapitál, tedy jako nový kapitál. U A i B dochází k témuž nahrazení hodnoty variabilního kapitálu, použitého v týchž obdobích. Přitom dochází za stejně dlouhá období také ke stejnému přírůstku nadhodnoty. Třebaže však u B dochází každých 5 týdnů k nahrazení hodnoty 500 liber št. a ještě přirůstá 500 liber št. nadhodnoty, netvoří ještě tato nahrazující hodnota nový kapitál, protože nemá peněžní formu. U A je nejen stará kapitálová hodnota nahrazena novou, nýbrž je zároveň obnovena ve své peněžní formě, tedy nahrazena jako nový kapitál který je s to fungovat.

Dřívější nebo pozdější přeměna nahrazující hodnoty v peníze, t.j. v takovou formu, v niž se zálohuje variabilní kapitál, je zřejmě okolnost pro samu výrobu nadhodnoty zcela lhostejná. Výroba nadhodnoty závisí na velikosti použitého variabilního kapitálu a na stupni vykořisťování práce. Ona okolnost však mění velikost peněžního kapitálu, který musí být zálohován, aby během roku uvedl do pohybu určité množství pracovní síly, a určuje tedy roční míru nadhodnoty.

III. Obrat variabilního kapitálu se společenského hlediska

Podívejme se na chvíli na věc se společenského hlediska. Dejme tomu, že jeden dělník stojí týdně 1 libru št., pracovní den = 10 hodinám. U A i u B je během roku zaměstnáno 100 dělníků (100 liber št. týdně na 100 dělníků činí za 5 týdnů 500 liber št. a za 50 týdnů 5000 liber št.); pracují 6 dnů týdně každý po šedesáti pracovních hodinách. Tedy 100 dělníků odpracuje za týden 6000 pracovních hodin a za 50 týdnů 300.000 pracovních hodin. A i B zabrali tuto pracovní sílu a společnost ji tedy nemůže vydat na nic jiného. Potud je tomu tedy se společenského hlediska u A i u B stejně Dále: u A i u B dostává každých 100 dělníků za rok 5000 liber št. mzdy (všech 200 dělníků tedy dohromady dostane 10.000 liber št.) a odebírají společnosti za tuto částku životní prostředky. I po této stránce je tomu se společenského hlediska u A i u B stejně. Protože v obou případech dostávají dělníci plat týdně, odebírají společnosti týdně i životní prostředky, za něž pak v obou případech vrhají týdně do oběhu peněžní ekvivalent. Ale zde začíná rozdíl.

Za prvé. Peníze, které vrhá do oběhu dělník A, jsou nejen, jako pro dělníka B, peněžní formou hodnoty jeho pracovní síly (ve skutečnosti platidlem za práci již vykonanou); představují už od druhého období obratu, počítajíc od zahájení podniku, peněžní formu jím samým nově vytvořené hodnoty (= ceně pracovní síly plus nadhodnotě), vyrobené v prvním období obratu; touto hodnotou se platí jeho práce v druhém období obratu. U B je tomu jinak. Vzhledem k dělníkovi jsou sice i tu peníze platidlem za práci, kterou už vykonal, ale tato vykonaná práce se neplatí zpeněženou hodnotou, kterou nově vytvořil (peněžní formou hodnoty, vyrobené touto prací). K tomu může dojít teprve počínaje druhým rokem, kdy je dělník B placen zpeněženou hodnotou vyrobenou za minulý rok.

Čím kratší je období obratu kapitálu — čím kratší jsou tedy časové úseky, za něž během roku dochází k jeho reprodukci — tím rychleji se přeměňuje variabilní část kapitálu, kterou kapitalista původně zálohoval v peněžní formě, v peněžní formu nově vyrobené hodnoty (obsahující mimo to nadhodnotu), kterou vytvořil dělník k nahrazení tohoto variabilního kapitálu; tím kratší je tedy doba, na kterou musí kapitalista zálohovat peníze ze svého vlastního fondu, tím menší ve srovnání s daným rozsahem výroby je kapitál, který vůbec zálohuje, a tím relativně větší je masa nadhodnoty, kterou při dané míře nadhodnoty během roku vytlouká, a to proto, že kapitalista může tím častěji znovu kupovat dělníka za peněžní formu hodnoty vytvořené dělníkem samým a tím častěji znovu uvádět jeho práci do pohybu.

Při daném rozsahu výroby se zmenšuje absolutní velikost zálohovaného variabilního peněžního kapitálu (jakož i oběžného kapitálu vůbec) a roční míra nadhodnoty roste úměrně tomu, jak se zkracuje období obratu. Při dané velikosti zálohovaného kapitálu roste rozsah výroby, roste proto při dané míře nadhodnoty absolutní masa nadhodnoty, vyrobená v jednom období obratu, současně se zvýšením roční míry nadhodnoty, které je způsobeno zkrácením období reprodukce. Z předcházejícího rozboru vůbec vyplývá, že podle různé délky období obratu je třeba zálohovat peněžní kapitál velmi různé velikosti, aby byla při témž stupni vykořisťování práce uvedena do pohybu stejná masa produktivního oběžného kapitálu a stejná masa práce.

Za druhé — a to souvisí s prvním rozdílem — platí dělník kapitalisty B i dělník kapitalisty A životní prostředky, které kupuje, variabilním kapitálem, který se v jeho rukou přeměnil v oběživo. Na př. nejen bere z trhu pšenici, nýbrž ji i nahrazuje ekvivalentem v penězích. Ale protože peníze, kterými dělník B platí své životní prostředky, jež odebírá z trhu, nejsou peněžní formou nově vytvořené hodnoty, kterou vrhl během roku na trh, jako je tomu u dělníka A, dává sice prodavači svých životních prostředků peníze, nedává mu však zboží — ani výrobní prostředky, ani životní prostředky — které by tento prodavač mohl za utržené peníze koupit, jak je tomu naopak v případě dělníka A. Z trhu se tedy vezmou: pracovní síla, životní prostředky pro tuto pracovní sílu, fixní kapitál ve formě pracovních prostředků používaných kapitalistou B a výrobní materiál a v náhradu za ně se na trh vrhne ekvivalent v penězích; ale po celý rok se na trh nevrhá žádný výrobek, který by nahradil hmotné prvky produktivního kapitálu z něho vzaté. Představíme-li si nikoli kapitalistickou, nýbrž komunistickou společnost, odpadá především úplně peněžní kapitál, tedy i všechno to maskování transakcí, k němuž pro něj dochází. Věc se redukuje prostě na to, že si společnost musí předem vypočítat, kolik práce, výrobních prostředků a životních prostředků může bez újmy vynaložit na taková výrobní odvětví, která, jako na př. stavba železnic, nedávají dlouhou dobu, rok nebo déle, ani výrobní, ani životní prostředky a vůbec žádný užitečný efekt, avšak odnímají celkové roční výrobě práci i výrobní a životní prostředky. Naproti tomu v kapitalistické společnosti, kde společenský rozum dá o sobě vědět vždy až post festum, může a musí neustále docházet k velkým poruchám. Na jedné straně nastává tlak na peněžní trh, zatím co naopak dobrá situace na peněžním trhu vyvolává zase spoustu takových podniků, tedy vytváří právě takové okolnosti, které později vyvíjejí tlak na peněžní trh. Peněžní trh je pod tlakem, poněvadž tu je třeba stále zálohovat peněžní kapitál ve velkém měřítku dlouhou dobu. Nemluvíme už vůbec o tom, že průmyslníci a obchodníci vrhají peněžní kapitál, jejž nutně potřebují pro provoz svého podniku, do železničních a pod. spekulací, a nahrazují jej půjčkami na peněžním trhu. — Na druhé straně: vzniká tlak na produktivní kapitál, kterým disponuje společnost. Poněvadž se z trhu neustále odnímají prvky produktivního kapitálu a za ně se na trh vrhá jen peněžní ekvivalent, stoupá koupěschopná poptávka, která však v sobě neobsahuje žádné prvky nabídky. Odtud vzestup cen jak životních prostředků, tak výrobních materiálů. K tomu se v takové době obvykle rozvíjí ažiotáž a dochází k velkým přesunům kapitálu. Banda spekulantů, dodavatelů, inženýrů, advokátů a j. se obohacuje. Vyvolávají na trhu silnou poptávku po spotřebních předmětech, zároveň stoupají mzdy. Pokud jde o poptávku po potravinách, dává se tím ovšem silný podnět i zemědělství. Ale protože se množství potravin nedá zvětšit najednou, během jednoho roku, stoupá jejich dovoz, jako vůbec stoupá dovoz potravin ze zahraničí (kávy, cukru, vína a j.) a přepychových předmětů. Výsledkem je nadměrný dovoz a spekulace v této části dovozního obchodu. Na druhé straně v těch průmyslových odvětvích, kde lze výrobu rychle rozšířit (ve vlastní manufaktuře, hornictví atd.), vyvolává vzestup cen náhlé rozšíření, po němž zakrátko následuje zhroucení. Týž účinek se projevuje na trhu práce, což přitahuje do nových výrobních odvětví široké masy latentního relativně přebytečného obyvatelstva, ba dokonce už zaměstnané dělníky. Vůbec takové velké podniky, jako železnice, odnímají trhu práce určité množství sil, které mohou poskytovat jen určitá odvětví, jako na př. zemědělství, kde se používá výhradně silných chlapíků. K tomu dochází i poté, kdy se nové podniky už staly stálým výrobním odvětvím, a tudíž se už vytvořila vrstva kočovného dělnictva pro ně nutná, na př. jakmile se stavba železnic začne náhle provádět ve větším měřítku než průměrném. Pohlcuje tu část dělnické reservní armády, jejíž tlak udržoval nižší hladinu mezd. Mzdy všeobecně stoupají, dokonce i v těch částech trhu práce, kde dělníci i předtím snadno našli zaměstnání. Trvá to tak dlouho, dokud neodvratný krach znovu neuvolní reservní armádu dělníků; mzdy pak znovu klesají na minimum a pod ně. [32]

Pokud větší nebo menší délka období obratu závisí na pracovním období ve vlastním smyslu, t.j. na období, jehož je zapotřebí, aby byl výrobek zhotoven pro trh, je určena materiálními výrobními podmínkami, které jsou pro různé kapitálové vklady vždy dány. Tyto podmínky mají v zemědělství spíše povahu přírodních podmínek výroby, v manufaktuře a ve většině těžebního průmyslu se mění se společenským vývojem výrobního procesu samého.

Pokud je délka pracovního období určena rozsahem dodávaných mas zboží (kvantitativním rozsahem, v němž se výrobek zpravidla vrhá na trh jako zboží), má konvenční charakter. Ale materiální základnou této podmíněnosti je rozsah výroby, je tedy náhodná jen tehdy, pokud ji zkoumáme v jednotlivém případě.

Pokud konečně závisí délka období obratu na délce období oběhu, je zčásti podmíněna neustálými změnami konjunktur na trhu, větší či menší snadností prodeje a z toho vyplývající nutností vrhat výrobek zčásti na bližší nebo vzdálenější trh. Nepřihlížíme-li k rozsahu poptávky vůbec, hraje tu hlavní úlohu pohyb cen: klesají-li ceny, prodej se úmyslně omezuje, kdežto výroba jde dál; naopak, stoupají-li ceny, kráčí výroba souběžně s prodejem nebo se zboží prodává dokonce předem. Avšak za vlastní materiální základnu je třeba považovat skutečnou vzdálenost místa výroby od odbytiště.

Na př. anglická bavlněná tkanina nebo příze se prodá do Indie. Dejme tomu, že anglickému bavlnářskému továrníku vývozce zaplatí (činí to ochotně jen při příznivém stavu peněžního trhu. Nahrazuje-li však továrník sám svůj peněžní kapitál úvěrovými operacemi, není tu něco v pořádku). Vývozce prodá později své bavlněné zboží na indickém trhu, odkud se k němu vrátí kapitál, který zálohoval. Až do tohoto návratu je tomu úplně tak jako v případě, kdy délka pracovního období vyvolává nutnost zálohovat nový peněžní kapitál, aby se výrobní proces udržel v dosavadním měřítku. Peněžní kapitál, jímž továrník platí svým dělníkům a také obnovuje ostatní prvky svého oběžného kapitálu, není peněžní formou příze, kterou vyrobil. Tak tomu bude teprve tehdy, až se hodnota této příze vrátí v penězích nebo ve výrobcích do Anglie. Tento peněžní kapitál je jako dříve dodatečným kapitálem. Rozdíl je jen v tom, že místo továrníka jej zálohuje obchodník, který si jej možná zase opatřil úvěrovými operacemi. A rovněž se dříve, než se tyto peníze vrhnou na trh, nebo zároveň s tím, nevrhá na anglický trh dodatečný výrobek, který by mohl být za tyto peníze koupen a vejít do produktivní nebo individuální spotřeby. Trvá-li takový stav delší dobu a ve větším měřítku, musí mít tytéž důsledky jako dříve zmíněné prodloužení pracovního období.

Je možné, že se v Indii příze zase prodá na úvěr. Tímto úvěrem se v Indii koupí výrobek a jako platba se pošle do Anglie nebo se tam převede směnka na příslušnou sumu. Trvá-li tento stav déle, vyvolá tlak na indický peněžní trh, což se odrazí v Anglii tak, že to tam může vyvolat krisi. Krise, i když je provázena vývozem drahých kovů do Indie, vyvolává zase v této zemi novou krisi způsobenou zhroucením anglických obchodních domů a jejich indických poboček, jimž indické banky poskytovaly úvěr. Tak vzniká zároveň krise jak na trhu, proti němuž stojí obchodní bilance, tak i na trhu, v jehož prospěch stojí obchodní bilance. Tento jev může být ještě složitější. Anglie na př. pošle do Indie stříbro v prutech, ale angličtí věřitelé Indie tam nyní vymáhají své pohledávky, a Indie musí krátce nato poslat své stříbro v prutech zpět do Anglie.

Je možné, že vývozní obchod do Indie a dovozní obchod z Indie se přibližně vyrovnávají, třebaže dovoz (vyjma zvláštní okolnosti, jako zdražení bavlny atd.) je co do svého rozsahu určován a podněcován vývozem. Může se zdát, že obchodní bilance mezi Anglií a Indií je v rovnováze nebo že má jen nepatrné výkyvy na tu či onu stranu. Jakmile však v Anglii vypukne krise, ukáže se, že bavlněné zboží leží neprodáno v indických skladištích (nepřeměnilo se tedy ze zbožního kapitálu v peněžní kapitál — nadvýroba na této straně), a na druhé straně, že v Anglii nejen leží neprodány zásoby indických výrobků, nýbrž že většina prodaných a spotřebovaných zásob ještě vůbec není zaplacena. To, co se tedy jeví jako krise na peněžním trhu, vyjadřuje ve skutečnosti anomalii ve výrobním a reprodukčním procesu samém.

Za třetí. Pokud pak jde o použitý oběžný kapitál (variabilní i konstantní), vede délka období obratu, pokud závisí na délce pracovního období, k tomuto rozdílu: při několika obratech za rok může být prvek variabilního nebo konstantního oběžného kapitálu dodán vlastním výrobkem tohoto kapitálu, jako na př. v uhelném průmyslu, v oděvních konfekcích atd. V jiném případě to není možné, alespoň ne během roku.

__________________________________

Poznámky:

* T. j. hodnota v matematickém smyslu slova. (Pozn. překl. čes. vydání)

32 V rukopise je tu vsunuta tato poznámka s tím, aby byla později rozvedena: „Rozpor v kapitalistickém výrobním způsobu: dělníci jsou jako kupci zboží důležití pro trh. Ale jako prodavače jejich zboží — pracovní síly — má kapitalistická společnost tendenci omezit je na minimum ceny. — Další rozpor: epochy, v nichž kapitalistická výroba napíná všechny své síly, jsou zpravidla obdobími nadvýroby, poněvadž výrobních možností nelze nikdy použít tak, aby tím bylo možno nejen vyrobit, nýbrž i realisovat větší hodnoty; prodej zboží, realisace zbožního kapitálu, tedy také nadhodnoty, je však omezena nikoli spotřebními potřebami společnosti vůbec, nýbrž spotřebními potřebami takové společnosti, jejíž ohromná většina je stále chudá a musí být stále chudá. Ale to patří až do příštího oddílu.“